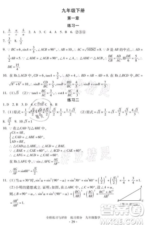
浙江人民出版社2021全程练习与评价九年级全一册数学浙教版答案小编已经收集整理好了,错题的总结归纳是重中之重,失分原因,失分类型的题,哪些需要精益求精吃透练透,哪些是真的由于马虎错了,这些一定要搞清楚。养成良好的思维习惯,加强自己的应试能力,平时学习不够踏实认真,容易浮躁,考试时看到自己会做的题目沾沾自喜,就容易掉以轻心,最终失分。需要核对答案的伙伴可以来答案圈看看!

本书系列的其他年级和科目小编也有收集整理,需要核对的伙伴可以在对应的年级搜索查看!









































浙江人民出版社2021全程练习与评价九年级上册语文人教版答案
2021-09-23 16:18:19
浙江人民出版社2021全程练习与评价九年级上册语文人教版答案小编已经收集整理好了,九年级更多考察是孩子们的综合能力,所以对于基础稍差和平时学习习惯不是特别好的孩子,面对众
浙江人民出版社2021全程练习与评价九年级全一册英语人教版答案
2021-09-23 16:02:41
浙江人民出版社2021全程练习与评价九年级全一册英语人教版答案小编已经收集整理好了,需要核对答案的伙伴可以来答案圈看看!浙江人民出版社2021全程练习与评价九年级全一册英语
浙江人民出版社2021全程练习与评价八年级上册道德与法治人教版答案
2021-09-23 15:47:50
浙江人民出版社2021全程练习与评价八年级上册道德与法治人教版答案小编已经收集整理好了,一家庭没有刻意营造学习的环境,家长在言行上也没有给孩子作出表率,二学校可能存在更加
浙江人民出版社2021全程练习与评价八年级上册数学浙教版答案
2021-09-23 15:33:51
浙江人民出版社2021全程练习与评价八年级上册数学浙教版答案小编已经收集整理好了,一是个体的智力在学习书本知识上不强,二是个体缺乏学习知识的热情不强,三是个体没有“为什么
2021初中全程练习与评价系列答案