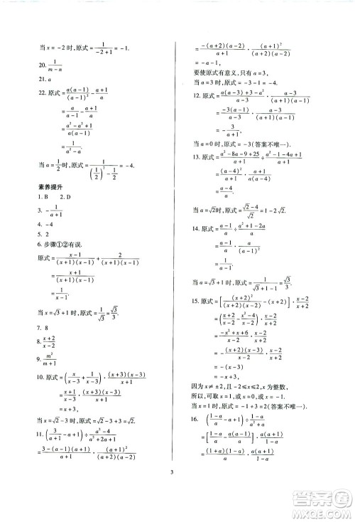
山西教育出版社2021山西省中考指导数学人教版答案为同学整理好了,这本书是由山西教育出版社出版发行,薛三虎、石颂园主编的中考复习练习册,内容结合山西省的教学特色,注重基础,梯度恰当,强化基础知识、基本技能、基本应用的训练,同学们做完题目可以来答案圈核对一下,效率更高哦!

参考答案如下,欢迎同学们查阅。需要其他科目参考资料,也可以在答案圈找到哦。












































































































山西教育出版社2021山西省中考指导道德与法治人教版答案
2021-07-12 12:02:41
山西教育出版社2021山西省中考指导道德与法治人教版答案为同学整理好了,这本书是由山西教育出版社出版发行,刘文兵主编的中考复习练习册,内容结合山西省的教学特色,习题以教材出
山西教育出版社2021山西省中考指导英语人教版答案
2021-07-12 11:49:33
山西教育出版社2021山西省中考指导英语人教版答案为同学整理好了,这本书是由山西教育出版社出版发行,吴丽红主编的中考复习练习册,内容结合山西省的教学特色,科学设计编排内容,巩
山西教育出版社2021山西省中考指导语文人教版答案
2021-07-12 11:25:25
山西教育出版社2021山西省中考指导语文人教版答案为同学整理好了,这本书是由山西教育出版社出版发行,李建军主编的中考复习练习册,内容结合山西省的教学特色,能巩固基础知识点内
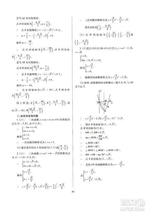
辽宁教育出版社2021尖子生课时作业九年级数学下册人教版答案
2021-07-08 16:06:01
辽宁教育出版社2021尖子生课时作业九年级数学下册人教版答案小编已经为大家收集整理好了,这本书是由辽宁教育出版社出版发行的初中教材辅导习题册,内容从知识的方法点、综合点
山西省中考指导系列答案