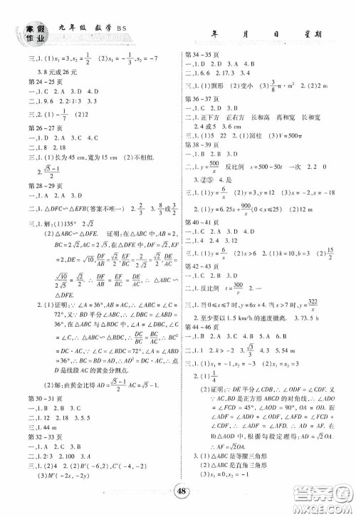
2021年智趣寒假作业九年级数学北师大版的答案小编收集整理如下,做完了之后可以来检查一下,看看自己做的对不对,不要照抄答案哦,其他学科的和其他年级的直接站内搜书名就好了!

答案如下,仅供参考!


云南科技出版社2022年智趣寒假作业六年级语文人教版答案
2021-01-15 15:15:02
云南科技出版社2022年智趣寒假作业六年级语文人教版答案小编收集整理好了,做完了之后可以来检查一下,这个系列的很多学生都在使用,做完了之后可以来看看哦!云南科技出版社2022年
云南科技出版社2022智趣寒假作业六年级英语人教版答案
2021-01-15 14:52:44
2022智趣寒假作业六年级英语人教版的答案小编收集整理如下,做完了之后可以来检查一下,这个系列的还有其他学科的哦,不要照抄答案,站内直接搜书名就可以了!云南科技出版社2022智趣
云南科技出版社2022年智趣寒假作业六年级数学人教版答案
2021-01-15 14:46:30
2022年智趣寒假作业六年级数学人教版答案小编收集整理好了,这个系列的还是很不错的,不要照抄答案哦,其他学科的和其他年级的直接站内搜书名吧!云南科技出版社2022年智趣寒假作业
云南科技出版社2022年智趣寒假作业四年级英语人教PEP版答案
2021-01-15 14:30:07
2022年智趣寒假作业四年级英语人教PEP版的答案小编收集整理如下,做完了之后可以来检查一下,看看自己做的对不对,这个系列的还有其他学科的哦,直接站内搜书名就好了,非常方便!云南