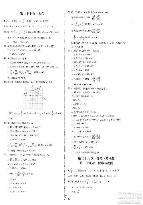
内蒙古少年儿童出版社2020本土攻略数学九年级全一册RJ人教版答案小编已经收集整理好了,正在使用本书的伙伴可以来看看哦!

本书的其年级和他科目的答案小编也有整理,需要核对参考的伙伴直接在答案圈对应的年级搜索即可查看



























































内蒙古少年儿童出版社2020本土攻略物理八年级上册HK沪科版答案
2020-11-27 11:15:32
内蒙古少年儿童出版社2020本土攻略物理八年级上册HK沪科版答案小编已经收集整理好了,正在使用本书的伙伴可以来看看哦!内蒙古少年儿童出版社2020本土攻略物理八年级上册HK沪科
内蒙古少年儿童出版社2020本土攻略道德与法治八年级上册RJ人教版答案
2020-11-27 10:58:30
内蒙古少年儿童出版社2020本土攻略道德与法治八年级上册RJ人教版答案小编已经收集整理好了,正在使用本书的伙伴可以来看看哦!内蒙古少年儿童出版社2020本土攻略道德与法治八年
内蒙古少年儿童出版社2020本土攻略数学八年级上册RJ人教版答案
2020-11-27 10:46:19
内蒙古少年儿童出版社2020本土攻略数学八年级上册RJ人教版答案小编已经收集整理好了,正在使用本书的伙伴可以来看看哦!内蒙古少年儿童出版社2020本土攻略数学八年级上册RJ人教
内蒙古少年儿童出版社2020本土攻略历史八年级上册RJ人教版答案
2020-11-27 10:30:53
内蒙古少年儿童出版社2020本土攻略历史八年级上册RJ人教版答案小编已经收集整理好了,正在使用本书的伙伴可以来看看哦!内蒙古少年儿童出版社2020本土攻略历史八年级上册RJ人教
2020本土攻略系列答案