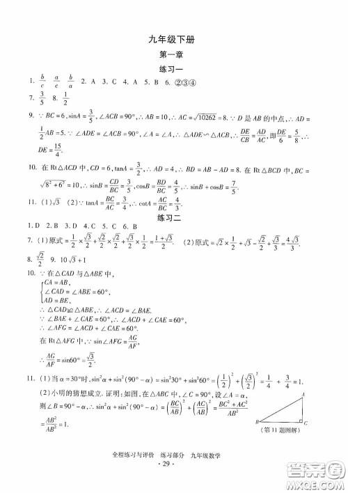
2020全程练习与评价九年级数学全一册ZH版的答案小编已经收集整理好了,做完了之后可以来看看,这个系列的还有其他学科的哦,直接站内搜书名就可以搜到,还是非常方便的,其他教辅的答案也有收集,查找方式直接搜书名比如全程练习与评价,即可查找!

范建民主编,答案如下,仅供参考!









































浙江人民出版社2020全程练习与评价九年级道德与法治上册人教版答案
2020-11-02 17:34:17
2020全程练习与评价九年级道德与法治上册人教版的答案小编已经收集整理好了,做完了之后可以来检查一下,看看自己做的对不对,不要直接照抄答案哦,其他学科的和其他年级的直接站内
浙江人民出版社2020全程练习与评价九年级语文上册人教版答案
2020-11-02 17:29:00
2020全程练习与评价九年级语文上册人教版的答案小编已经收集整理好了,做完了之后可以来检查一下,看看自己做的对不对,这个系列的还有其他学科的哦,直接站内搜书名吧!浙江人民出版
浙江人民出版社2020全程练习与评价九年级科学全一册ZH版答案
2020-11-02 17:26:36
2020全程练习与评价九年级科学全一册ZH版的答案小编已经收集整理好了,做完了之后可以来检查一下,看看自己做的对不对,不要直接照抄答案哦,其他学科的和其他年级的直接站内搜书名
浙江人民出版社2020全程练习与评价八年级科学上册ZH版答案
2020-11-02 17:15:34
2020全程练习与评价八年级科学上册ZH版的答案小编收集整理如下,这个系列的还有其他学科的哦,直接站内搜书名就可以搜到了,还是非常不错的,不要照抄答案,作业还是要自己做!浙江人民