2020火线100天中考滚动复习法地理湘教版的答案小编已经收集整理好了,做完了之后可以来检查一下,看看自己做的对不对,不要直接照抄答案哦!

ISBN编号:9787545464689,出版社名称:广东经济出版社












广东经济出版社2020火线100天中考滚动复习法地理星球版答案
2020-06-23 09:28:56
2020火线100天中考滚动复习法地理星球版的答案小编已经收集整理好了,做完了之后可以来检查一下,看看自己做的对不对,不要直接照抄答案哦!广东经济出版社2020火线100天中考滚动复
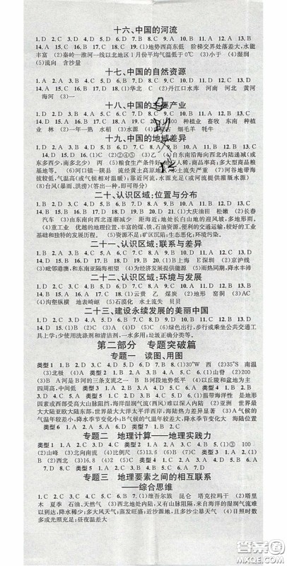
广东经济出版社2020火线100天中考滚动复习法地理中图版答案
2020-06-23 09:12:13
火线100天中考滚动复习法地理中图版的答案小编已经收集整理好了,做完了之后可以来检查一下,看看自己做的对不对,不要直接照抄答案哦!广东经济出版社2020火线100天中考滚动复习法
火线100天2019年暑假总复习学习总动员人教版七年级数学参考答案
2019-07-11 15:57:49
小编收集整理了火线100天2019年暑假总复习学习总动员人教版七年级数学参考答案,需要答案的学生可以及时核对哦火线100天2019年暑假总复习学习总动员人教版七年级数学参考答案
火线100天2019年暑假总复习学习总动员七年级人教版英语参考答案
2019-07-11 15:10:06
小编收集整理了火线100天2019年暑假总复习学习总动员七年级人教版英语参考答案,需要答案的学生请及时核对哦火线100天2019年暑假总复习学习总动员七年级人教版英语参考答案IS
火线100天中考滚动复习法系列答案