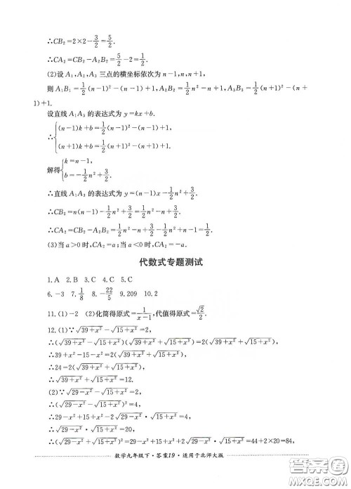
小编这次收集整理的是2020课程标准初中单元测试数学九年级下册北师大版的答案,使用这本练习册的可以来检查一下,看看自己做的对不对,不要直接照抄答案哦!

答案如下,仅供参考!




































四川教育出版社2020课程标准初中单元测试历史九年级下册人教版答案
2020-05-21 16:40:50
小编这次收集整理的是四川教育出版社2020课程标准初中单元测试历史九年级下册人教版的答案,使用这本练习册的可以来检查一下,看看自己做的对不对,不要直接照抄答案哦!四川教育出
四川教育出版社2020课程标准初中单元测试九年级化学下册山东教育版答案
2020-05-21 16:24:06
小编这次收集整理的是2020课程标准初中单元测试九年级化学下册山东教育版的答案,使用这本练习册的可以来检查一下,看看自己做的对不对,不要直接照抄答案哦,当然其他学科的和其他
四川教育出版社2020课程标准初中单元测试九年级数学下册华东师大版答案
2020-05-21 16:18:24
四川教育出版社出版的2020课程标准初中单元测试九年级数学下册华东师大版的答案,使用这本练习册的可以来检查一下,看看自己做的对不对吧,不要直接照抄答案哦!四川教育出版社2020
四川教育出版社2020课程标准初中单元测试物理九年级下册教科版答案
2020-05-21 15:53:41
小编这次收集整理的是课程标准初中单元测试物理九年级下册教科版的答案,使用这本练习册的可以来检查一下,这个系列的小编收集整理了很多,直接站内搜书名就可以了!四川教育出版社