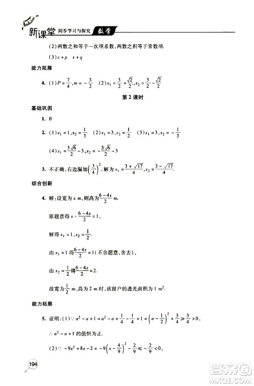
2019年新课堂同步学习与探究数学九年级上学期人教版参考答案小编已经收集整理好了,练习完就来核对一下吧!

本书系列的其他年级和科目的答案小编也有整理,大家可以根据自己的需要直接在对应的年级搜索即可















































2019年新课堂同步学习与探究地理八年级上学期人教版参考答案
2019-10-28 17:27:36
2019年新课堂同步学习与探究地理八年级上学期人教版参考答案小编已经收集整理好了,练习完就来核对一下吧!2019年新课堂同步学习与探究地理八年级上学期人教版参考答案本书系列
2019年新课堂同步学习与探究语文八年级上学期人教版参考答案
2019-10-28 17:08:35
2019年新课堂同步学习与探究语文八年级上学期人教版参考答案小编已经收集整理好了,练习完就来核对一下吧!2019年新课堂同步学习与探究语文八年级上学期人教版参考答案本书系列
2019年新课堂同步学习与探究物理八年级上学期人教版参考答案
2019-10-28 16:48:07
2019年新课堂同步学习与探究物理八年级上学期人教版参考答案小编已经收集整理好了,练习完就来核对一下吧!2019年新课堂同步学习与探究物理八年级上学期人教版参考答案本书系列
2019年新课堂同步学习与探究生物八年级上学期人教版参考答案
2019-10-28 16:33:38
2019年新课堂同步学习与探究生物八年级上学期人教版参考答案小编已经收集整理好了,练习完就来核对一下吧!2019年新课堂同步学习与探究生物八年级上学期人教版参考答案本书系列