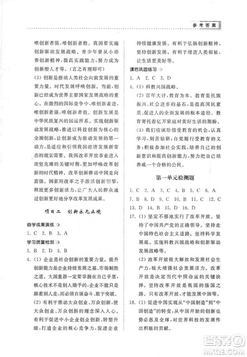
山东人民出版社出版的导学与训练道德与法治九年级上册人教版的答案小编已经收集整理好了,做完了的可以看看,当然其他学科的和其他年级的也有收集整理,直接在站内搜导学与训练即可!

答案如下,仅供参考!















山东人民出版社2019导学与训练英语九年级上册人教版答案
2019-10-16 10:31:48
小编这次收集整理的是山东人民出版社2019导学与训练英语九年级上册人教版的答案,使用这套教辅的可以来看看哦!山东人民出版社2019导学与训练英语九年级上册人教版答案《导学与
山东人民出版社2019导学与训练化学九年级上册人教版答案
2019-10-16 10:23:07
导学与训练化学九年级上册人教版的答案小编已经收集整理好了,做完了的可以来答案圈看看,检查一下自己做的对不对!山东人民出版社2019导学与训练化学九年级上册人教版答案答案如
山东人民出版社2019导学与训练语文九年级上册人教版答案
2019-10-16 10:19:52
小编这次收集整理的是山东人民出版社2019导学与训练语文九年级上册人教版的答案,做完了的可以来看看,八年级语文主要在于一个内容的积累和运用,要好好训练,多做练习!山东人民出版
山东人民出版社2019导学与训练九年级物理上册人教版答案
2019-10-16 10:18:29
山东人民出版社出版的导学与训练九年级物理上册人教版的答案已经收集整理好了,做完了的可以来看看,检查一下自己做的对不对!山东人民出版社2019导学与训练九年级物理上册人教版