2018年奥数精讲与测试九年级参考答案,专为数学的提高超越准备,感兴趣的来了解一下

ISBN9787542856203上海科技教育出版社,熊斌主编。针对奥数的提高精选题型辅导




















































































































首先可以根据不同的学科来进行分析,因为学科不同,采取的方法也不同。比如语文学习不够好,那么家长就可以抓字词关,毕竟字词是基础,字都不认识,不会写,语文学习就是海上蜃楼。数学方面在小学可以多给孩子训练基础的四则运算,这样既开发智力也锻炼思维的敏捷性。
其次多多阅读,让孩子选择自己感兴趣的课外书,养成阅读的习惯,学会边阅读边回答问题,提高语文的思考能力。阅读精品,让孩子从心底里感受到语言的魅力,也会提高孩子的语文学习能力。
第三、树立孩子的自信心。成绩不够好,很容易打击孩子的自信心。可以从孩子比较擅长的东西入手,如果孩子体育比较好,那么可以从体育方面夸奖孩子,让他知道自己的优点是什么。同时鼓励孩子,既然体育可以这么棒,其他方面应该也是没有问题的,只是方法还没有找对。自信心的树立,可以帮助孩子不再排斥学习,也有信心克服学习上的困难。
第四、多带孩子出去锻炼,强壮的身体孩子学习做事精气神也会好很多,同时记忆力也会有所增强,有精神了孩子才会更有精力去折腾!
2019版木头马初中语文4+1组合阅读九年级+中考通用版参考答案
2018-10-10 15:34:18
2019版木头马初中语文4+1组合阅读九年级+中考通用版参考答案,给语文阅读更多的解题思路,感兴趣的来了解一下2019版木头马初中语文4+1组合阅读九年级+中考通用版参考答案ISBN编
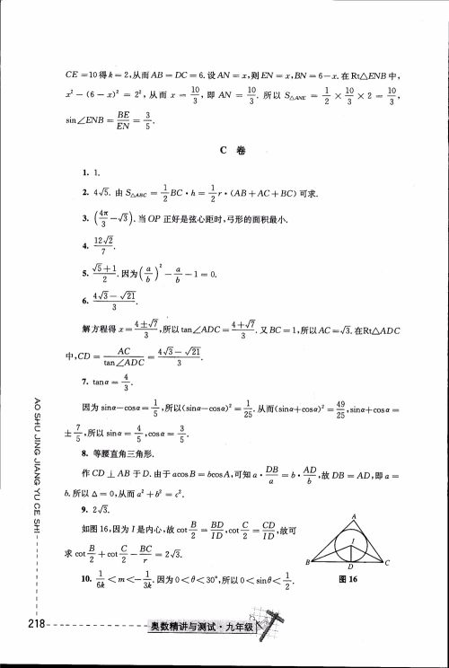
2019版pass绿卡图书初中学霸同步笔记化学九年级人教版参考答案
2018-10-10 09:30:15
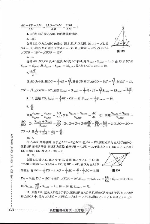
2019版pass绿卡图书初中学霸同步笔记化学九年级人教版参考答案,同步梳理教材知识,夯实基础稳固提分,感兴趣的来答案圈看看2019版pass绿卡图书初中学霸同步笔记化学九年级人教
人教版2018秋同步导学案课时练九年级上物理参考答案
2018-10-09 15:44:47
人教版2018秋同步导学案课时练九年级上物理参考答案,小编收集在答案圈了,快来点击查看吧人教版2018秋同步导学案课时练九年级上物理参考答案由人民教育出版社教育资源编辑室编
同步导学案课时练2018九年级全一册语文参考答案
2018-10-09 15:28:34
同步导学案课时练2018九年级全一册语文参考答案,小编收集在答案圈了,感兴趣的学生可以及时进行答案的查看同步导学案课时练2018九年级全一册语文参考答案由人民教育出版社教育