2018年新版秋季尖子生题库数学9年级上册RJ人教版参考答案,小编已经更新到最新版的了需要的来答案圈查询

ISBN编号:9787554913543由辽宁出版社出版,针对初中数学每个知识点考点做全面的剖析,交给你最有效的数学学习方法












































































































































比如我们要确定6月15日是不是下雨,根据往年经验,下雨的概率有40%,不下雨的概率为60%,这就称为概率。如果在前一天,天气预报6月15日下雨,这就称为条件, 在这种条件下6月15日真正下雨的概率就称为条件概率。
天气预报根据一定的气象参数确定是否可能下雨,由于天气琢磨不定,即便预报下雨,也有可能是晴天。假如天气预报的准确率为90%,即在下雨的情况下,有90%的可能预报下雨,有10%的可能预报不下雨;同样在不下雨的情况下,有10%的概率预报下雨,有90%的概率是预报不下雨。
这样一来,6月15日的预报和天气就有四种可能:预报下雨且真的下雨,预报不下雨但是下雨,天气预报下雨但是不下雨,预报不下雨且真的不下雨。我们把四种情况列在下面的表格中,并计算相应的概率。
医疗检查
与这个问题类似的是在医院进行重大疾病检查时,如果医生发现异常,一般不会直接断定生病了,而是建议他去大医院再检查一次,虽然这两次检查可能完全是一样的。为什么样这样呢?
我们假设有一种重大疾病,患病人群占总人群的比例为1/7000。也就是说,随即选取一个人,有1/7000的概率患有这种疾病,有6999/7000的概率没有患这种疾病。
有一种先进的检测方法,误诊率只有万分之一,也就是说,患病的人有1/10000的可能性误诊为健康人,健康人也有1/10000的可能性被误诊为患病。
2018年尖子生题库物理八年级上册人教版参考答案
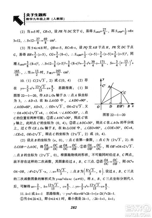
2018-09-25 08:58:10
尖子生题库系列的辅导教材都是精选各类典型题目针对知识点的辅导,大家感兴趣的可以了解一下2018年尖子生题库物理八年级上册人教版参考答案ISBN编码9787554913611,由辽宁教育
2018尖子生题库九年级物理全一册上科版参考答案
2018-09-25 08:28:30
2018尖子生题库九年级物理全一册上科版参考答案,针对中考备考给你物理更全面的准备,感兴趣的来看看2018尖子生题库九年级物理全一册上科版参考答案ISBN编号9787538268577辽宁
2019经纶学典学霸题中题八年级英语上册 RJ人教版参考答案
2018-09-24 10:41:20
2019经纶学典学霸题中题八年级英语上册 RJ人教版参考答案,小编已经收集好了,需要的来答案圈查看2019经纶学典学霸题中题八年级英语上册 RJ人教版参考答案ISBN编号: 978755441
2019经纶学典学霸题中题八年级数学上册RJ人教版参考答案
2018-09-24 10:29:19
2019经纶学典学霸题中题八年级数学上册RJ人教版参考答案,小编已经收集好了需要的来答案圈查询2019经纶学典学霸题中题八年级数学上册RJ人教版参考答案ISBN编号: 978755441160
2018尖子生题库系列答案