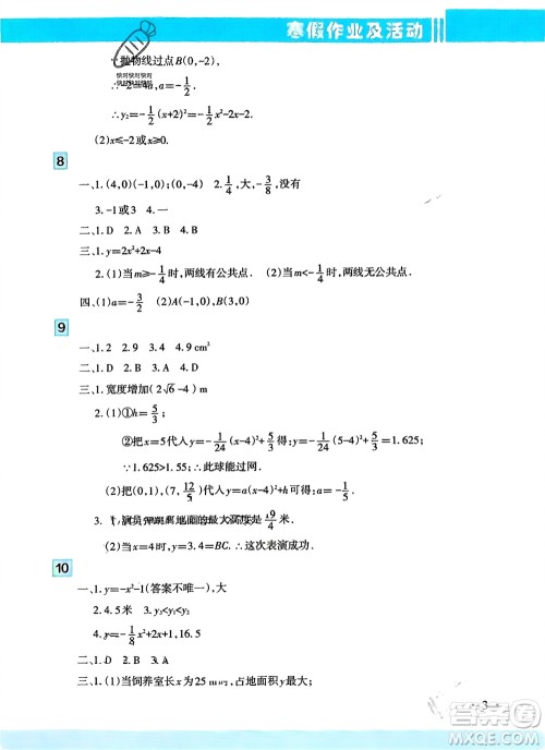
在初三年级,数学科目的备考想拿到高分就得对做练习,寒假时间务必得把握住,千万别偷懒。小编分享新疆文化出版社2024寒假作业及活动九年级数学通用版参考答案,感兴趣的可以收藏。

答案如下:








新疆文化出版社2024寒假作业及活动九年级英语通用版参考答案
2024-02-01 14:22:26
进入初三年级,英语科目的备考内容不少,大家要多花时间背诵单词,空下来记得做练习,千万别松懈。小编整理了新疆文化出版社2024寒假作业及活动九年级英语通用版参考答案,一起来看看
新疆文化出版社2024寒假作业及活动九年级化学通用版参考答案
2024-02-01 14:15:20
在初三年级,化学科目的备考内容不少,大家得珍惜寒假时间,空余多做练习,争取拿到好成绩。小编搜集了新疆文化出版社2024寒假作业及活动九年级化学通用版参考答案,感兴趣的可以看过
新疆文化出版社2024寒假作业及活动八年级历地生合订本通用版参考答案
2024-02-01 11:39:56
在初二年级,学生们要关注各科的学习情况,每天下课之后坚持做练习,努力把知识点巩固好。小编搜集了新疆文化出版社2024寒假作业及活动八年级历地生合订本通用版参考答案,感兴趣的
新疆文化出版社2024寒假作业及活动八年级英语通用版参考答案
2024-02-01 11:28:05
今天分享新疆文化出版社2024寒假作业及活动八年级英语通用版参考答案,感兴趣的可以看过来。这是为初二年级学生搜集到的寒假练习册答案,希望能帮助你们提高英语成绩。此外,答案