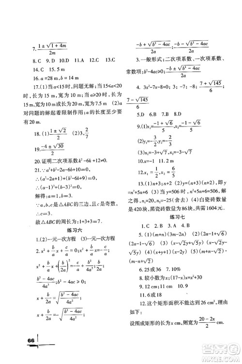
进入九年级,各学科的难度都会有所增加,同学们要利用好假期时间,对薄弱的学科进行巩固练习,今天小编为同学们整理了兰州大学出版社2024寒假作业九年级数学北师大版答案,练习完的同学们可以来答案圈核对一下答案。

答案如下,仅供参考:







兰州大学出版社2024寒假作业八年级数学北师大版答案
2024-01-16 16:04:52
进入八年级,数学这门学科的难度会有所增加,同学们想要取得高分在假期要多做练习,提升成绩,今天小编为同学们整理了兰州大学出版社2024寒假作业八年级数学北师大版答案,练习完的同
兰州大学出版社2024寒假作业七年级数学北师大版答案
2024-01-16 15:46:57
七年间的数学难度会有所增加,同学们可以通过实操来检测知识的掌握程度,提升数学这门学科的成绩,今天小编为同学们整理了兰州大学出版社2024寒假作业七年级数学北师大版答案,练习
大象出版社2024地理寒假作业本七年级地理通用版答案
2024-01-16 15:19:23
地理这门学科在七年级难度不大,同学们可以通过练习来巩固这学期的知识,检测知识点掌握程度,今天小编为同学们整理了大象出版社2024地理寒假作业本七年级地理通用版答案,练习完的
四川大学出版社2024假期冲冠学期系统总复习假期必备九年级数学通用版答案
2024-01-16 10:09:36
九年级的数学难度不小,同学们在假期要多做练习,通过训练来及时回顾知识点,今天小编为同学们整理了四川大学出版社2024假期冲冠学期系统总复习假期必备九年级数学通用版答案,练习