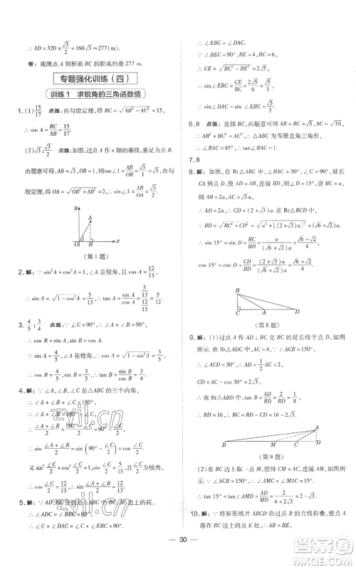
山西教育出版社2022秋季点拨训练九年级上册数学湘教版参考答案小编已经为大家收集整理好了,本书是山西教育出版社出版设计,本书按照教材顺序,结合考纲要求,采用逐级提升的学习讲解策略,适合学生的自学、课后训练和预习等,有兴趣的同学,可以到答案圈看看哦!

答案如下:














































吉林教育出版社2022秋季点拨训练九年级上册化学人教版参考答案
2022-09-08 14:12:09
吉林教育出版社2022秋季点拨训练九年级上册化学人教版参考答案小编已经为大家收集整理好了,本书是吉林教育出版社出版设计,这本点拨训练主要汇集了各年级学生所学到的各种课外
山西教育出版社2022秋季点拨训练九年级上册化学科粤版参考答案
2022-09-08 13:56:59
山西教育出版社2022秋季点拨训练九年级上册化学科粤版参考答案小编已经为大家收集整理好了,本书是山西教育出版社出版设计,本书主要针对九年级基础薄弱的学生所设计,大幅度提高
安徽教育出版社2022秋季点拨训练九年级上册英语人教版安徽专版参考答案
2022-09-08 11:42:05
安徽教育出版社2022秋季点拨训练九年级上册英语人教版安徽专版参考答案小编已经为大家收集整理好了,本书是安徽教育出版社出版设计,这本书有全面系统的课时作业,还配有各章素养
山西教育出版社2022秋季点拨训练九年级上册物理人教版山西专版参考答案
2022-09-08 11:24:04
山西教育出版社2022秋季点拨训练九年级上册物理人教版山西专版参考答案小编已经为大家收集整理好了,这本书帮助学生及时巩固新授课知识,夯实双基,并引导学生将知识转化为能力,逐