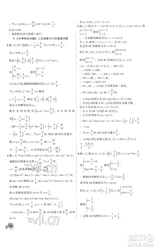
安徽大学出版社2022创新课堂创新作业本九年级上册数学人教版参考答案小编已经为大家收集整理好了,本书是安徽大学出版社出版设计,本书主要汇集了各年级学生所学到的各种课外知识点,结合学生本阶段认知,对不同讲次由认识到巩固提高,达到对每一讲的熟练应用。每道题的详细解析,帮助学生整理思路,有兴趣的同学,可以到答案圈看看哦!

答案如下,欢迎查阅!
















































安徽大学出版社2022创新课堂创新作业本九年级上册语文部编版参考答案
2022-08-19 14:38:43
安徽大学出版社2022创新课堂创新作业本九年级上册语文部编版参考答案小编已经为大家收集整理好了,本书是安徽大学出版社出版设计,本书将阅读方法、解题方法、口语及书面表达方
安徽大学出版社2022创新课堂创新作业本九年级英语上册人教版参考答案
2022-08-19 14:23:39
安徽大学出版社2022创新课堂创新作业本九年级英语上册人教版参考答案小编已经为大家收集整理好了,本书是安徽大学出版社出版设计,本书帮助学生及时巩固新授课知识,夯实双基,并引
安徽大学出版社2022创新课堂创新作业本九年级上册物理沪粤版参考答案
2022-08-19 14:10:00
安徽大学出版社2022创新课堂创新作业本九年级上册物理沪粤版参考答案小编已经为大家收集整理好了,本书是安徽大学出版社出版设计,本书整合单元知识的重难点,同时设置例题讲解和
安徽大学出版社2022创新课堂创新作业本九年级上册数学沪科版参考答案
2022-08-19 13:57:40
安徽大学出版社2022创新课堂创新作业本九年级上册数学沪科版参考答案小编已经为大家收集整理好了,本书是安徽大学出版社出版设计,这本书帮助大家在课后复习时,能巩固课上所学的