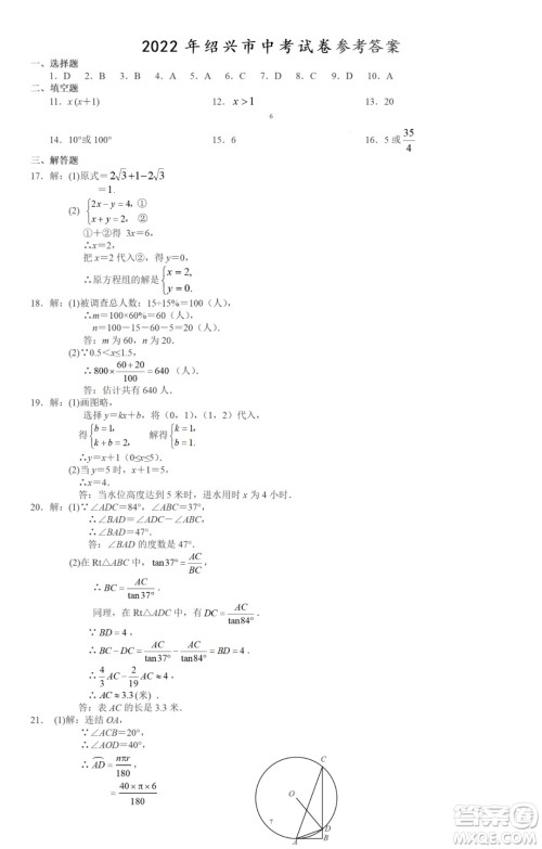
2022浙江省初中学业水平考试绍兴卷数学试题及答案小编已经收集整理好了,大家在考完可以来核对答案对自己的发挥做出一个更好评估。

中考系列的其他科目小编也有整理收集,需要核对答案的伙伴可以来答案圈九年级搜索查看!









江西省2022初中学业水平考试数学试题及答案
2022-06-22 15:04:54
江西省2022初中学业水平考试数学试题及答案小编已经收集整理好了,大家在考完可以来核对答案对自己的发挥做出一个更好评估。江西省2022初中学业水平考试数学试题及答案中考系
2022年天津市初中学业水平考试数学试题及答案
2022-06-21 16:39:59
2022年天津市初中学业水平考试数学试题及答案小编已经收集整理好了,大家在考完可以来核对答案对自己的发挥做出一个更好评估。2022年天津市初中学业水平考试数学试题及答案中
宁波市2022年初中学业水平考试数学试题及答案
2022-06-21 15:22:01
宁波市2022年初中学业水平考试数学试题及答案小编已经收集整理好了,大家在考完可以来核对答案对自己的发挥做出一个更好评估。宁波市2022年初中学业水平考试数学试题及答案中
2022年陕西省初中学业水平考试数学试题及答案
2022-06-21 11:39:44
2022年陕西省初中学业水平考试数学试题及答案小编已经收集整理好了,大家在考完可以来核对答案对自己的发挥做出一个更好评估。2022年陕西省初中学业水平考试数学试题及答案中