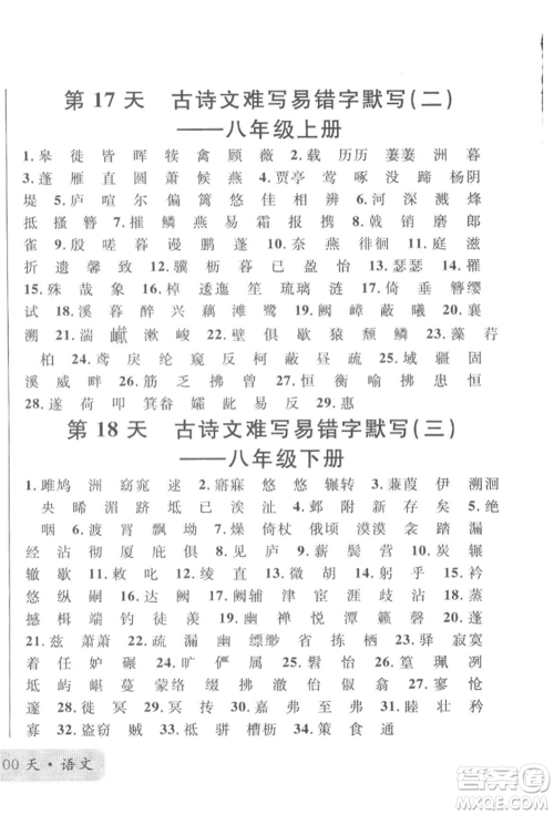
云南大学出版社2022火线100天必背熟读本语文人教版云南专版参考答案小编已经为大家收集整理好了,本书是云南大学出版社出版设计,本书将阅读方法、解题方法、口语及书面表达方法巧妙地融入课文解读、练习解析、口语交际及习作指导中,使同学们能掌握多种学习方法,形成自主学习能力,从而提高语文核心素养,有兴趣的同学,可以到答案圈看看哦!

答案如下:































































广东经济出版社2022火线100天必背熟读本B本英语人教版河北专版参考答案
2022-05-09 09:00:26
广东经济出版社2022火线100天必背熟读本B本英语人教版河北专版参考答案小编已经为大家收集整理好了,本书是广东经济出版社出版设计,本书从课内重点、难点出发,着力于知识点的延
广东经济出版社2022火线100天必背熟读本语文人教版参考答案
2022-05-09 08:22:00
广东经济出版社2022火线100天必背熟读本语文人教版参考答案小编已经为大家收集整理好了,本书是广东经济出版社出版设计,本书帮助学生及时巩固新授课知识,夯实双基,并引导学生将
广东经济出版社2022火线100天必背熟读本A本语文人教版青海专版参考答案
2022-05-07 16:29:27
广东经济出版社2022火线100天必背熟读本A本语文人教版青海专版参考答案小编已经为大家收集整理好了,本书是广东经济出版社出版设计,做完练习的同学,可以到答案圈查阅参考,不过不
广东经济出版社2022火线100天必背熟读本A本英语通用版青海专版参考答案
2022-05-07 16:16:09
广东经济出版社2022火线100天必背熟读本A本英语通用版青海专版参考答案小编已经为大家整理好了,本书是广东经济出版社出版设计,如果你已经做完本书练习题了,你可以到答案圈查阅
2022火线100天系列答案