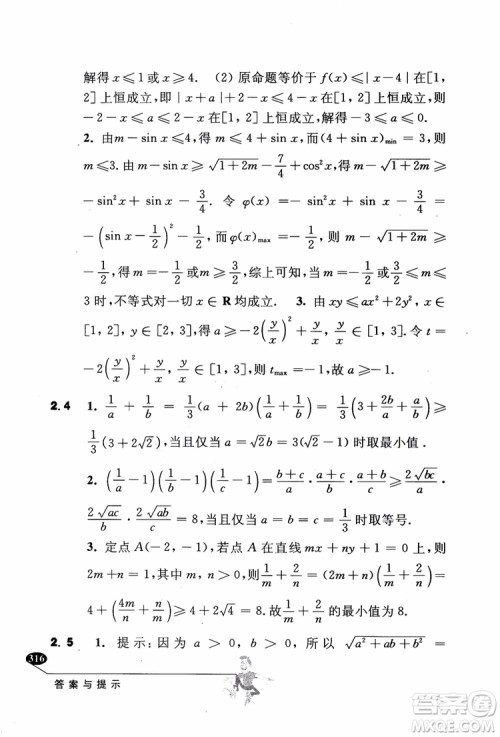
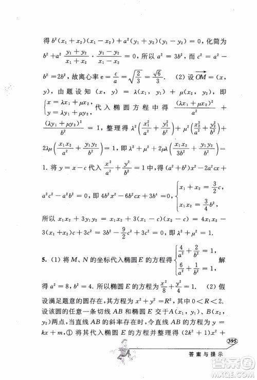
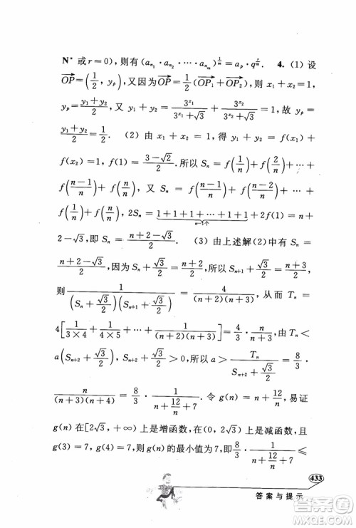
2018年解题高手高中数学第六版参考答案小编已经整理完成了,需要核对参考的伙伴及时来答案圈查看哦

书名: 解题高手第六版高中数学ISBN编号: 9787567506770出版社名称: 华东师范大学出版社,熊斌主编


























































































































































第一,生活经验。很多人会说,我们很少有机会接触英语。特别是农村地区的孩子会认为我们在平时的生活中根本用不上英语,哪有什么生活经验来培养语感。但是,想要增强英语语感就要创造条件来说英语。学生最主要的途径就是通过课堂来说英语,英语课堂中的角色扮演、编写对话,学生一定要参与其中,这也是你们的生活经验。另外,自己可以利用现在网络资源,下载一些英语学习的程序,让自己敢于说出来。
第二,知识积累。首先是朗读,对话文段,优美的句子都可以读,并且要大声读,重复读。当你读的内容多且达到熟读成诵时,有些内容自然而然就会说了,会用了。其次是阅读。阅读可以扩大你的阅读量和阅读视野,增加你的知识储备,所谓见多识广,见多了,语感就强了。最后是写作,写作是把你背的东西,记的东西运用起来,只有你写作能力提高了才代表你很多知识会用了,英语水平真正提高了。写作的训练可以每天写一篇日记或者写篇小作文等等。
2018年导与练小题巧练高中数学必修2参考答案
2019-01-10 09:51:15
2018年导与练小题巧练高中数学必修2参考答案小编已经整理完成,小伙伴练习完记得来答案圈核对哦2018年导与练小题巧练高中数学必修2参考答案ISBN编号: 9787540582548书名: 小
2018年海淀名师伴你学同步学练测高中数学必修1第2版参考答案
2019-01-08 11:37:41
2018年海淀名师伴你学同步学练测高中数学必修1第2版参考答案小编已经整理完成了,需要的伙伴主要核对哦2018年海淀名师伴你学同步学练测高中数学必修1第2版参考答案ISBN编号:
9787303206551海淀名师伴你学2018年同步学练测高中数学必修2参考答案
2019-01-06 11:52:08
9787303206551海淀名师伴你学2018年同步学练测高中数学必修2参考答案小编已经整理好,需要核对参考的伙伴及时来答案圈查看9787303206551海淀名师伴你学2018年同步学练测高中
2018秋南通小题高中数学选修2-2第6版参考答案
2019-01-03 11:14:55
2018秋南通小题高中数学选修2-2第6版参考答案小编已经整理好,虽然是选修教辅但是还是有很多的知识点的,需要的伙伴练习后来答案圈查看哦2018秋南通小题高中数学选修2-2第6版参