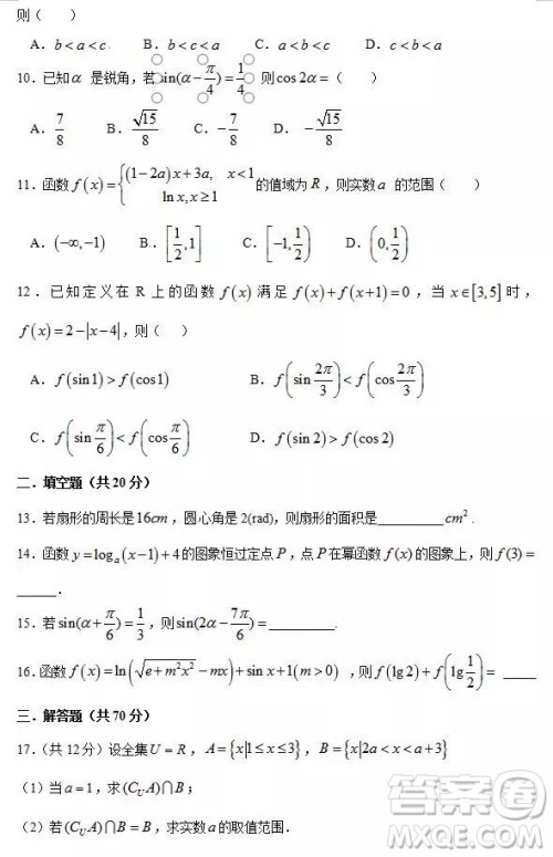
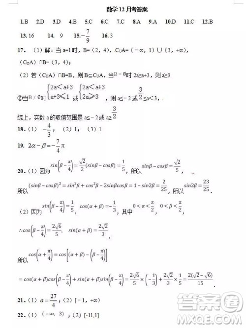
哈六中2021届高一上学期12月数学月考试卷及答案小编已经整理完成了,需参考的小伙伴及时来答案圈查看哦

前面是试卷测试,后面是答案,在核对的时候要看清楚哦,这个是12月月考的。






首先课前要做好预习,预习是为了在上课时更好地跟上老师的节奏,做到这点很有必要。
其次要理解、背诵和掌握好各种概念、性质和公式等基本知识。课后,要认真的做课本上的例题,课本上的例题思路比较简单,知识点也比较简单。只有把课本上的例题做好,理解透彻了,再做其他练习册的习题才有可能举一反三。
最后要善于归纳总结。每天的知识点,自己已熟练掌握的,未熟练掌握的都要心里有谱。不懂的要及时请教老师,也可以和同学多探讨。做完练习后要将自己做错的题目记录到纠错本上,并时时翻看,做到下次不再犯错!
哈六中2021届高一上学期12月月考语文试题及答案解析
2018-12-20 08:30:52
哈六中2021届高一上学期12月月考语文试题及答案解析,小编收集的详细完整了,快及时核对吧哈六中2021届高一上学期12月月考语文试题及答案解析阅读下面的文字,完成小题。吟诵,惜之
湖南省茶陵县第三中学2018-2019学年高一上学期第三次月考语文试题及答案解析
2018-12-20 08:26:28
湖南省茶陵县第三中学2018-2019学年高一上学期第三次月考语文试题及答案解析,小编收集的还是完整详细的,需要的小伙伴请注意核对哦湖南省茶陵县第三中学2018-2019学年高一上学
内蒙古自治区赤峰市第二中学2018-2019年高一上学期第二次月考语文试题及答案
2018-12-17 15:45:17
内蒙古自治区赤峰市第二中学2018-2019年高一上学期第二次月考语文试题及答案小编已经整理完成了,每个地区的考试都有各自的特色,感兴趣的来看看内蒙古自治区赤峰市第二中学201
广东省深圳市高级中学2018-2019学年高一上学期期中考试及参考答案
2018-12-11 18:24:39
广东省深圳市高级中学2018-2019学年高一上学期期中考试及参考答案,小编收集的很详细完整,需要答案的小伙伴请及时关注广东省深圳市高级中学2018-2019学年高一上学期期中考试及