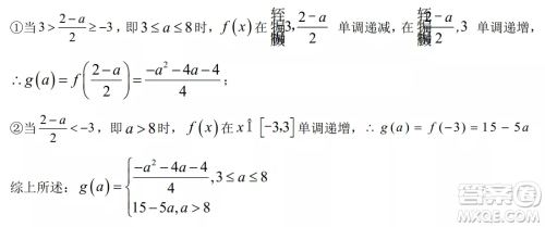
2022-2023齐齐哈尔市八校联合体高一上学期数学期中试卷答案小编已经为大家收集整理好了,大家可以到答案圈看看哦!

答案如下,欢迎查阅!















2022-2023齐齐哈尔市八校联合体高一上学期语文期中试卷答案
2022-11-11 09:38:13
2022-2023齐齐哈尔市八校联合体高一上学期语文期中试卷答案小编已经为大家收集整理好了,大家可以来答案圈看看哦!2022-2023齐齐哈尔市八校联合体高一上学期语文期中试卷答案答
2022-2023齐齐哈尔市八校联合体高三上学期化学期中试卷答案
2022-11-11 09:26:38
2022-2023齐齐哈尔市八校联合体高三上学期化学期中试卷答案已经为大家收集整理好了,需要答案的同学,可以到答案圈查阅一下哦!2022-2023齐齐哈尔市八校联合体高三上学期化学期中
2022-2023齐齐哈尔市八校联合体高三上学期物理期中试卷答案
2022-11-11 09:16:33
2022-2023齐齐哈尔市八校联合体高三上学期物理期中试卷答案已经为大家收集整理好了,大家可以考完试来答案圈进行核对哦!2022-2023齐齐哈尔市八校联合体高三上学期物理期中试卷
2022-2023齐齐哈尔市八校联合体高三上学期数学期中试卷答案
2022-11-11 09:09:59
2022-2023齐齐哈尔市八校联合体高三上学期数学期中试卷答案已经为大家收集整理好了,大家可以来答案圈看看哦!2022-2023齐齐哈尔市八校联合体高三上学期数学期中试卷答案答案如