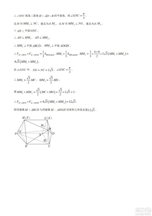
湖北省十堰市2021-2022学年下学期期末调研考试高一数学试题及答案小编已经收集整理好了,大家在考完可以来核对答案对自己的发挥做出一个更好评估。

本次考试系列的其他科目小编也有整理收集,需要核对答案的伙伴可以来答案圈对应年级搜索查看!




















湖北省十堰市2021-2022学年下学期期末调研考试高一生物试题及答案
2022-07-05 08:27:51
湖北省十堰市2021-2022学年下学期期末调研考试高一生物试题及答案小编已经收集整理好了,大家在考完可以来核对答案对自己的发挥做出一个更好评估。湖北省十堰市2021-2022学年
湖北省十堰市2021-2022学年下学期期末调研考试高一历史试题及答案
2022-07-05 08:19:45
湖北省十堰市2021-2022学年下学期期末调研考试高一历史试题及答案小编已经收集整理好了,大家在考完可以来核对答案对自己的发挥做出一个更好评估。湖北省十堰市2021-2022学年
湖北省十堰市2021-2022学年下学期期末调研考试高一地理试题及答案
2022-07-05 08:14:51
湖北省十堰市2021-2022学年下学期期末调研考试高一地理试题及答案小编已经收集整理好了,大家在考完可以来核对答案对自己的发挥做出一个更好评估。湖北省十堰市2021-2022学年
盐城市2021-2022学年第二学期期终考试高一数学试题及答案
2022-06-28 08:26:32
盐城市2021-2022学年第二学期期终考试高一数学试题及答案小编已经收集整理好了,大家在考完可以来核对答案对自己的发挥做出一个更好评估。盐城市2021-2022学年第二学期期终考