首页小学初中高中专题
当前位置:首页 > 高中答案网 > 高中一年级答案

哈九中2021级高一下学期4月数学阶段性验收考试试题及答案

时间:2022-04-28 08:29:23    作者:答案圈
标签:
高一考试答案

哈九中2021级高一下学期4月数学阶段性验收考试试题及答案已经为大家收集整理好了,需要答案的小伙伴,可以到答案圈查阅参考哦!ZvA答案圈

哈九中2021级高一下学期4月数学阶段性验收考试试题及答案ZvA答案圈

哈九中2021级高一下学期4月数学阶段性验收考试试题及答案

答案如下:ZvA答案圈

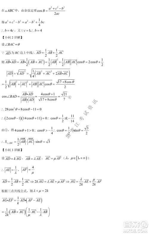
哈九中2021级高一下学期4月数学阶段性验收考试试题及答案ZvA答案圈

哈九中2021级高一下学期4月数学阶段性验收考试试题及答案ZvA答案圈

哈九中2021级高一下学期4月数学阶段性验收考试试题及答案ZvA答案圈

哈九中2021级高一下学期4月数学阶段性验收考试试题及答案ZvA答案圈

哈九中2021级高一下学期4月数学阶段性验收考试试题及答案ZvA答案圈

哈九中2021级高一下学期4月数学阶段性验收考试试题及答案ZvA答案圈

哈九中2021级高一下学期4月数学阶段性验收考试试题及答案ZvA答案圈

哈九中2021级高一下学期4月数学阶段性验收考试试题及答案ZvA答案圈

哈九中2021级高一下学期4月数学阶段性验收考试试题及答案ZvA答案圈

哈九中2021级高一下学期4月数学阶段性验收考试试题及答案ZvA答案圈

哈九中2021级高一下学期4月数学阶段性验收考试试题及答案ZvA答案圈

哈九中2021级高一下学期4月数学阶段性验收考试试题及答案ZvA答案圈

哈九中2021级高一下学期4月数学阶段性验收考试试题及答案ZvA答案圈

哈九中2021级高一下学期4月数学阶段性验收考试试题及答案ZvA答案圈

哈九中2021级高一下学期4月数学阶段性验收考试试题及答案ZvA答案圈

哈九中2021级高一下学期4月数学阶段性验收考试试题及答案ZvA答案圈

哈九中2021级高一下学期4月数学阶段性验收考试试题及答案ZvA答案圈

哈九中2021级高一下学期4月数学阶段性验收考试试题及答案ZvA答案圈

哈九中2021级高一下学期4月数学阶段性验收考试试题及答案ZvA答案圈

哈九中2021级高一下学期4月数学阶段性验收考试试题及答案ZvA答案圈

查看更多答案
相关文章
哈九中2021级高一下学期4月语文阶段性验收考试试题及答案 2022-04-28 08:18:22

哈九中2021级高一下学期4月语文阶段性验收考试试题及答案已经为大家收集整理好了,大家可以来核对一下正确的答案,思考正确的解题过程,会对大家解题有帮助哦!哈九中2021级高一下

专题推荐

2022小学长江作业本上册系列答案

2022阳光学业评价上册系列答案

2022资源与评价上册系列答案

2022初中全品学练考上册系列答案

2022阳光同学课时优化作业上册系列答案

相关专题
课后作业答案
数学
语文
英语
历史
地理
政治
物理
化学
生物
其他
网友留言
最新更新
2022年山东省学情空间区域教研共同体高一10月份联考物理试题及答案
高一考试答案
2022年山东省学情空间区域教研共同体高一10月份联考历史试题及答案
高一考试答案
2022年山东省学情空间区域教研共同体高一10月份联考地理试题及答案
高一考试答案
2022年山东省学情空间区域教研共同体高一10月份联考化学试题及答案
高一考试答案