湖南高考成绩放榜啦!有多少小伙伴是熬夜等待查分数的啊!小编整理了最新的高考讯息,可能对大家接下来的志愿填报有帮助哦!大家可以来答案圈搜索查看!

2021年湖南普通高校招生录取控制分数线已公布,具体情况如下:
普通类历史类 本科线:466分
普通类物理类 本科线:434分
特殊类型招生 历史类:521分
特殊类型招生 物理类:504分



成绩情况:今年高考各科目成绩总体分布正常,与去年相比,物理类平均总分有一定的提高,历史类平均总分有所下降。高考文化总分600分以上的考生13862人,其中,历史类为1697人,物理类为12165人。
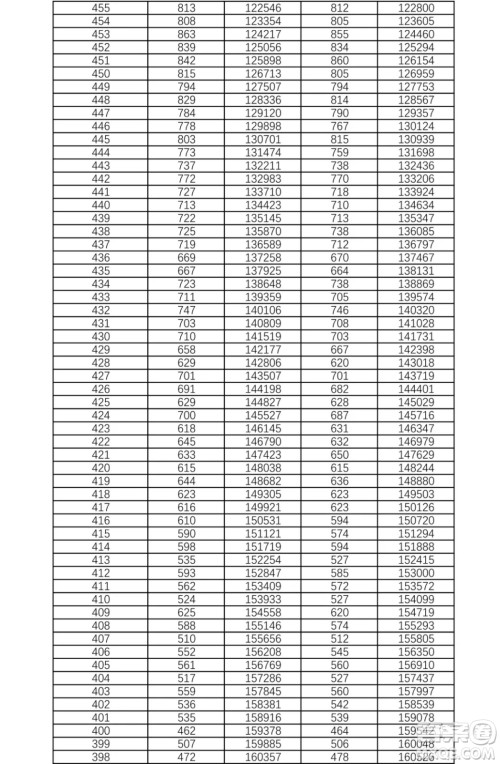
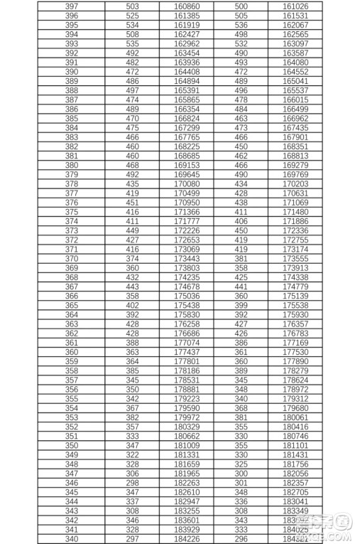
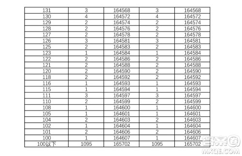
湖南省2021年普通高考档分1分段统计表
高考成绩分数段(一分一段表)是很重要的填报志愿的依据,也是各大高校划自己分数线的一部分依据。一分一段表是从高到低的排名,考生根据成绩对照一分一段表,就可以知道自己在全省的排名,再参照各类学校各批次招生计划数,确定自己该如何填报志愿。
湖南省2021年普通高考档分1分段统计表(物理科目组合)










湖南省2021年普通高考档分1分段统计表(历史科目组合)










2021北京高考一分一段表 2021北京高考成绩一分一段表最新
2021-06-25 11:17:35
北京市高考成绩也陆续公布了,同时在6月25号开始可以在北京教育考试院官网查询成绩,现在可能很多小伙伴都在忙碌这查看自己的成绩,同时也是为接下来的志愿填报做好准备,小编收集
2021河南高考一分一段表 2021河南高考成绩一分一段表最新
2021-06-25 11:04:36
河南省每年的高考人数都是全国最多的,随着高考成绩的放榜,那么今年的河南高考又给大家带来了怎么样的惊喜了?小编整理好了对应的最新消息,感兴趣的伙伴可以来答案圈看看!2021年河
2021河北高考一分一段表 2021河北高考成绩一分一段表最新
2021-06-25 10:41:02
河北地区的高考分数页数陆续公布了,可能好多小编都是熬夜等待想知道自己的分数,不过估计是不管结果怎么样都成了不眠夜吧!但是接下来的志愿填报还是要进行的,小编整理了相关的资
2021江苏高考一分一段表 2021江苏高考成绩一分一段表最新
2021-06-25 10:23:49
江苏高考每年都被认为是较难的那一类,随着今年的分数线的公布,文理科的分数差还是蛮大的,很多网友都在说心疼文科生了!但是接下来的志愿填报还是得进行,小伙伴们要用好自己的每一