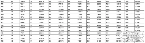
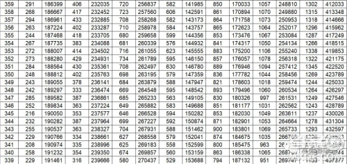
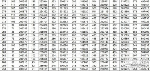
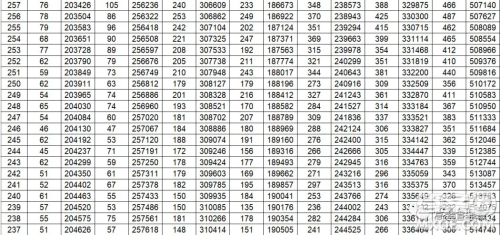
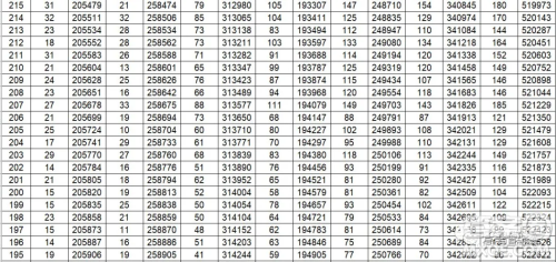
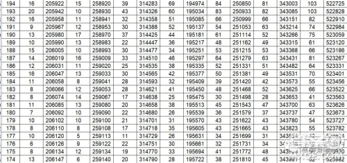
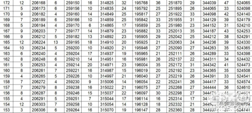
山东省2020年的高考分数线已经公布,随之高考分数也可以查询了了。因为是才开通成绩查询通道。所以此时查询可能通道比较拥堵,可以到晚间再查询,那时应该比较快速。小编收集了山东省2020年夏季高考分数一分一段表,赶紧看过来。























2020河南理科651分左右可以上哪些985大学 2020河南理科651分左右能上985大学吗
2020-07-27 08:29:03
2020年高考结束了,对于河南考生来说,是一个值得纪念的历史时刻,因为2020年河南省的高考分数创造了历史性的记录,700分以上人数169人,600分以上人数4万多人,显然600分已经不算一个
2020陕西理科352分能上什么大学 2020陕西理科352分可以上哪些大学
2020-07-26 10:52:10
这个分数也就是刚压线,打算上本科还是试试专科呢?本科的话省内就例如欧亚、西京、培华这些学校都有点悬,可以尝试一下报个外省的本科,但是要心里有准备就是虽然现在是第二批次报
2020安徽理科562分能上哪些大学 2020安徽理科562分能上什么大学
2020-07-26 10:46:14
安徽562分在一本线上了,对于冲刺大学来说,选择还是很多的,具体的话还是要看一下学生的意向和学校相关的信息来进行一个判断了。省内可以冲安徽财经大学、安徽医科大学,稳安徽建
2020河北理科479分能上什么大学 2020河北理科479分可以上哪些大学
2020-07-26 10:37:48
479分这个分数段在河北理科的话,由于不分批次,所以很多人不知道今年的这个分数能不能上个好一点的大学,那么怎么判断呢?一起来看看吧!河北今年本科不分批次,理科投档线415分,只有64