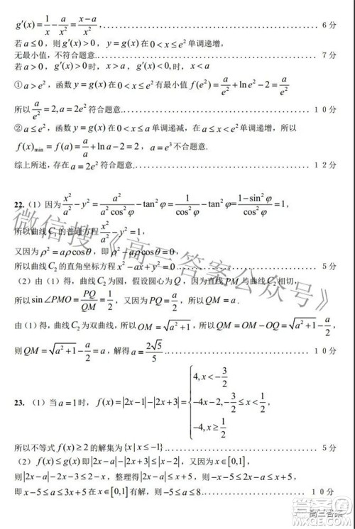
上饶市2022届高三第一次高考模拟考试文科数学试题及答案小编已经收集整理好了,针对这一学期学习成果的检验,让学生能更好的定位自己的学习情况,为接下来的学习做好准备,需要核对答案的伙伴可以来答案圈看!

本次考试的其他科目小编也有收集整理,需要的伙伴可以来答案对应的年级搜索查看!







德强高中2021-2022学年度上学期期末验收考试高三学年清北文科数学试题及答案
2022-01-18 14:51:42
德强高中2021-2022学年度上学期期末验收考试高三学年清北文科数学试题及答案小编已经为大家收集整理好了,做完题目的同学,可以到答案圈进行查阅参考哦!德强高中2021-2022学年度
上饶市2022届高三第一次高考模拟考试理科数学试题及答案
2022-01-18 14:40:02
上饶市2022届高三第一次高考模拟考试理科数学试题及答案小编已经收集整理好了,针对这一学期学习成果的检验,让学生能更好的定位自己的学习情况,为接下来的学习做好准备,需要核对
上饶市2022届高三第一次高考模拟考试语文试题及答案
2022-01-18 14:25:09
上饶市2022届高三第一次高考模拟考试语文试题及答案小编已经收集整理好了,针对这一学期学习成果的检验,让学生能更好的定位自己的学习情况,为接下来的学习做好准备,需要核对答案
2022届青海金太阳1月联考高三文科数学试题及答案
2022-01-15 09:24:55
2022届青海金太阳1月联考高三文科数学试题及答案小编已经收集整理好了,金太阳联考系列,下角标为梅花,针对这一学期学习成果的检验,让学生能更好的定位自己的学习情况,为接下来的