新疆2022年高三年级第一次诊断性测试理科数学试题及答案小编已经收集整理好了,针对这一学期学习成果的检验,让学生能更好的定位自己的学习情况,为接下来的学习做好准备,需要核对答案的伙伴可以来答案圈看!

本次考试的其他科目小编也有收集整理,需要的伙伴可以来答案对应的年级搜索查看!











2022年1月广西高三教学质量监测试题理科数学试题及答案
2022-01-14 11:26:17
2022年1月广西高三教学质量监测试题理科数学试题及答案小编已经收集整理好了,针对这一学期学习成果的检验,让学生能更好的定位自己的学习情况,为接下来的学习做好准备,需要核对
哈三中2021-2022学年度上学期高三学年期末考试理科数学试题及答案
2022-01-14 08:24:40
哈三中2021-2022学年度上学期高三学年期末考试理科数学试题及答案小编已经收集整理好了,针对这一学期学习成果的检验,让学生能更好的定位自己的学习情况,为接下来的学习做好准
哈师大附中2021-2022学年度高三上学期期末考试理科数学试题及答案
2022-01-13 16:48:50
哈师大附中2021-2022学年度高三上学期期末考试理科数学试题及答案小编已经收集整理好了,针对这一学期学习成果的检验,让学生能更好的定位自己的学习情况,为接下来的学习做好准
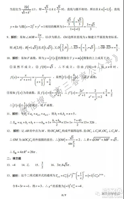
阜阳市2021-2022学年度高三教学质量统测试卷理科数学试题及答案
2022-01-13 09:17:31
阜阳市2021-2022学年度高三教学质量统测试卷理科数学试题及答案小编已经收集整理好了,金太阳联考出题,检验学生这个阶段的学习情况,让学生能很好的了解自己复习的缺漏做好巩固