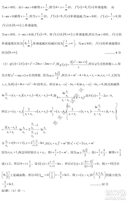
哈尔滨市第六中学2019级上学期期末考试高三理数试题及答案小编已经为大家收集整理好了,考完试的同学,可以到答案圈核对答案哦!

答案如下:













哈尔滨市第六中学2019级上学期期末考试高三英语试题及答案
2022-01-14 08:40:06
哈尔滨市第六中学2019级上学期期末考试高三英语试题及答案已经为大家整理好了,需要答案的同学,可以自行查阅哦!哈尔滨市第六中学2019级上学期期末考试高三英语试题及答案答案如
2021年高考桂林市第一次联考调研考试高三理数试题及答案
2021-01-21 10:04:49
2021年高考桂林市第一次联考调研考试高三理数试题及答案小编已经收集整理好了,需要核对参考的伙伴可以来答案圈看看2021年高考桂林市第一次联考调研考试高三理数试题及答案本
清远市2018-2019学年度第一学期期末教学质量检测高三理数试题及答案解析
2019-01-19 10:28:04
小编收集了清远市2018-2019学年度第一学期期末教学质量检测高三理数试题及答案解析,有需要的学生快及时做好答案的核对与检查啊清远市2018-2019学年度第一学期期末教学质量检