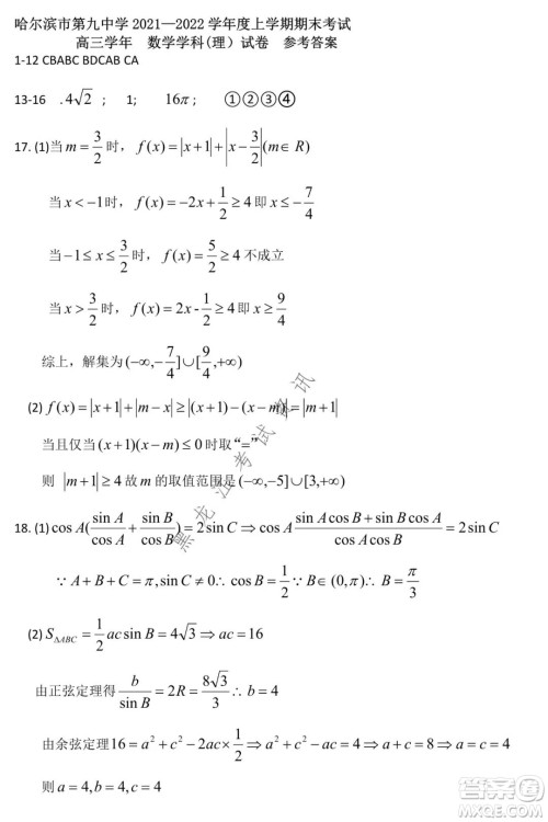
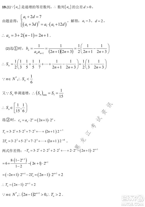
哈尔滨市第九中学2021-2022学年度上学期期末考试高三理科数学试题及答案小编已经收集整理好了,对这一学期的一个总结,同时也是了解到自己的学习还有哪些方面需要加强,需要核对参考的伙伴可以来答案圈查看!

本次考试的其他科目的答案小编也有收集整理,需要核对的伙伴可以在答案圈对应的年级搜索查看!










哈尔滨市第九中学2021-2022学年度上学期期末考试高三语文试题及答案
2021-12-31 17:39:31
哈尔滨市第九中学2021-2022学年度上学期期末考试高三语文试题及答案小编已经收集整理好了,对这一学期的一个总结,同时也是了解到自己的学习还有哪些方面需要加强,需要核对参考
哈尔滨市第九中学2021-2022学年度上学期期末考试高三英语试题及答案
2021-12-31 17:25:56
哈尔滨市第九中学2021-2022学年度上学期期末考试高三英语试题及答案小编已经收集整理好了,对这一学期的一个总结,同时也是了解到自己的学习还有哪些方面需要加强,需要核对参考
非凡吉创22届高三年级模拟调研三高三理科数学试题及答案
2021-12-23 15:23:50
非凡吉创22届高三年级模拟调研三高三理科数学试题及答案小编已经收集整理好了,及时了解自己的学习情况做好知识点的查漏补缺,需要核对参考的伙伴可以来答案圈查看!非凡吉创22届
2022届西南四省金太阳12月联考高三理科数学试题及答案
2021-12-15 09:08:44
2022届西南四省金太阳12月联考高三理科数学试题及答案小编已经收集整理好了,针对本阶段学生的复习情况进行检验,让学生对自己的复习有一个明确的定位,感兴趣的伙伴可以来答案圈