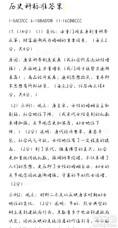
汕头市2021-2022学年度普通高中毕业班教学质量监测试题历史答案小编已经收集整理好了,汕头市高三年级12月份的统一考试,更好的了解到自己的复习情况,需要核对参考的伙伴可以来答案圈查看!

本次考试的其他科目的答案小编也有收集整理,需要核对的伙伴可以在答案圈对应的年级搜索查看!














汕头市2021-2022学年度普通高中毕业班教学质量监测试题生物答案
2021-12-30 09:30:08
汕头市2021-2022学年度普通高中毕业班教学质量监测试题生物答案小编已经收集整理好了,汕头市高三年级12月份的统一考试,更好的了解到自己的复习情况,需要核对参考的伙伴可以来
汕头市2021-2022学年度普通高中毕业班教学质量监测试题化学答案
2021-12-30 08:59:29
汕头市2021-2022学年度普通高中毕业班教学质量监测试题化学答案小编已经收集整理好了,汕头市高三年级12月份的统一考试,更好的了解到自己的复习情况,需要核对参考的伙伴可以来
汕头市2021-2022学年度普通高中毕业班教学质量监测试题物理答案
2021-12-30 08:48:07
汕头市2021-2022学年度普通高中毕业班教学质量监测试题物理答案小编已经收集整理好了,汕头市高三年级12月份的统一考试,更好的了解到自己的复习情况,需要核对参考的伙伴可以来
汕头市2021-2022学年度普通高中毕业班教学质量监测试题英语答案
2021-12-30 08:38:55
汕头市2021-2022学年度普通高中毕业班教学质量监测试题英语答案小编已经收集整理好了,汕头市高三年级12月份的统一考试,更好的了解到自己的复习情况,需要核对参考的伙伴可以来