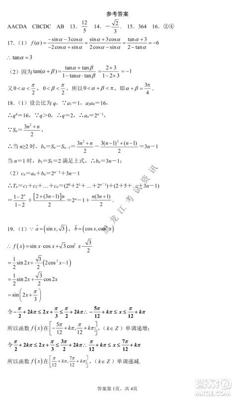
哈尔滨市第九中学2021-2022学年度上学期期中考试高三理科数学试题及答案小编已经整理好了,让学生能更好的了解自己复习的进度做好对应的学习计划,需要核对的伙伴可以来答案圈查看!

本次考试的其他科目的答案小编也有收集整理,需要核对的伙伴可以在答案圈对应的年级搜索查看!







哈尔滨市第九中学2021-2022学年度上学期期中考试高三语文试题及答案
2021-12-01 08:22:50
哈尔滨市第九中学2021-2022学年度上学期期中考试高三语文试题及答案小编已经整理好了,让学生能更好的了解自己复习的进度做好对应的学习计划,需要核对的伙伴可以来答案圈查看!
哈尔滨市第九中学2021-2022学年度上学期期中考试高三英语试题及答案
2021-12-01 08:11:38
哈尔滨市第九中学2021-2022学年度上学期期中考试高三英语试题及答案小编已经整理好了,让学生能更好的了解自己复习的进度做好对应的学习计划,需要核对的伙伴可以来答案圈查看!
2021-2022学年上学期全国百强名校领军考试高三理科数学试题及答案
2021-11-25 08:54:13
2021-2022学年上学期全国百强名校领军考试高三理科数学试题及答案小编已经收集整理好了,全国性质的联考,更能反应学生的真实情况,暴露平时可能忽视的复习问题,为学生接下来的复
2021年11月湘豫名校联考高三理科数学试题及答案
2021-11-19 15:16:00
2021年11月湘豫名校联考高三理科数学试题及答案小编已经收集整理好了,在第一轮复习中就要做好零回报的心理准备,但是只要我们跟着任课老师的复习计划,按部就班地将每门课的课本