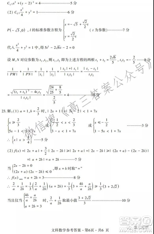
这是小编整理的四省八校2022届高三第一学期期中质量检测考试文科数学试题及答案,多地区的联考调研考试,能更加反映出学生的复习情况,小伙伴们可以及时了解自己还有哪些地方存在不足,做好查漏补缺,需要核对的伙伴可以来答案圈查看哦!

本次考试的其他科目的答案小编也有收集整理,需要核对的伙伴可以在答案圈对应的年级搜索查看!










2022届九江十校高三11月联考文科数学试题及答案
2021-11-20 14:20:07
2022届九江十校高三11月联考文科数学试题及答案小编已经收集整理好了,自问自答的验效法。即在基本内容大体掌握,重点难点皆明确的基础上,自己出题目,或按书中已出的测试题目,转抄
吉林省顶级名校2022届高三上学期期中考试文科数学试题及答案
2021-11-19 16:50:34
吉林省顶级名校2022届高三上学期期中考试文科数学试题及答案小编已经收集整理好了,对于学习计划的制定和评估要养成习惯,比如:每月大总结,每周小总结;大总结要着重于中长期的计划
2021年11月湘豫名校联考高三文科数学试题及答案
2021-11-19 15:00:14
2021年11月湘豫名校联考高三文科数学试题及答案小编已经收集整理好了,在第一轮复习中就要做好零回报的心理准备,但是只要我们跟着任课老师的复习计划,按部就班地将每门课的课本
2022届九师联盟高三11月质量检测文科数学试题及答案
2021-11-19 09:06:34
2022届九师联盟高三11月质量检测语文试题及答案小编已经收集整理好了,从实战出发,全面模拟高考出题形式,让学生能更好的适应高考环境,同时也能更好的检验这个阶段学生的复习情况