这是小编整理的巴蜀中学2022届高考适应性月考卷四数学试题及答案,巴蜀中学的每一次月考试卷和答案小编都有整理,需要核对的伙伴可以来答案圈查看哦!

本次考试的其他科目的答案小编也有收集整理,需要核对的伙伴可以在答案圈对应的年级搜索查看!














哈尔滨市第六中学2020级上学期期中考试高二数学试题及答案
2021-11-22 08:21:34
哈尔滨市第六中学2020级上学期期中考试高二数学试题及答案小编已经收集整理好了,哈六中2021年秋季期中考试,大家可以结合试卷看看自己有哪些知识点掌握的不够牢固,做好及时的巩
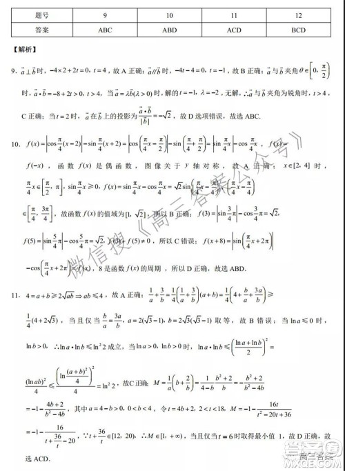
2022届长沙一中深圳实验学校高三联考数学试题及答案
2021-11-20 16:14:33
2022届长沙一中深圳实验学校高三联考数学试题及答案小编已经收集整理好了,高三的每一次模拟考试都是一次高考实战磨砺,大家一定要认真对待,需要核对参考的伙伴可以来答案圈查看
2022届九江十校高三11月联考理科数学试题及答案
2021-11-20 14:30:46
2022届九江十校高三11月联考理科数学试题及答案小编已经收集整理好了,自问自答的验效法。即在基本内容大体掌握,重点难点皆明确的基础上,自己出题目,或按书中已出的测试题目,转抄
2022届九江十校高三11月联考文科数学试题及答案
2021-11-20 14:20:07
2022届九江十校高三11月联考文科数学试题及答案小编已经收集整理好了,自问自答的验效法。即在基本内容大体掌握,重点难点皆明确的基础上,自己出题目,或按书中已出的测试题目,转抄