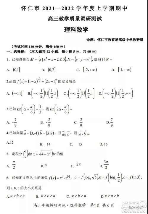
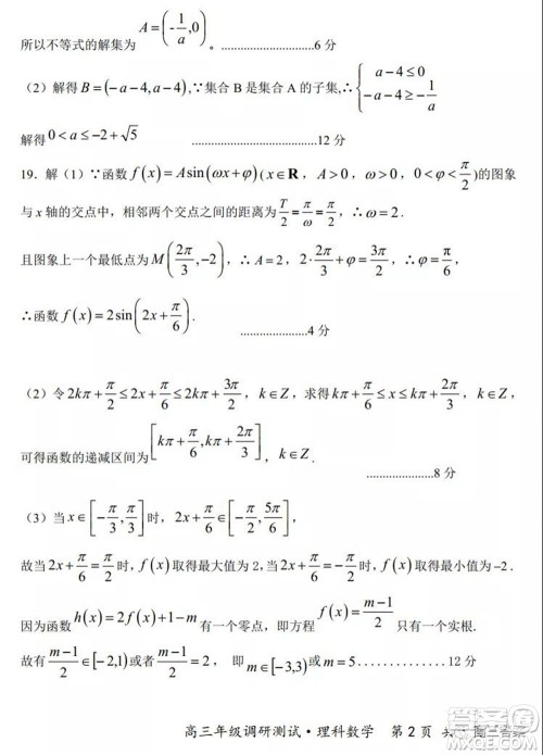
怀仁市2021-2022学年度上学期期中教学质量调研测试理科数学试题及答案小编已经收集整理好了,在第一轮复习时要及时发现缺漏的地方,及时补缺补漏,并把缺腿的科目补上,这样,才能在第一轮复习中有所收获!需要核对参考的伙伴可以来答案圈查看!

本次考试的其他科目的答案小编也有收集整理,需要核对的伙伴可以在答案圈对应的年级搜索查看!











怀仁市2021-2022学年度上学期期中教学质量调研测试文科数学试题及答案
2021-11-16 09:51:45
怀仁市2021-2022学年度上学期期中教学质量调研测试文科数学试题及答案小编已经收集整理好了,在第一轮复习时要及时发现缺漏的地方,及时补缺补漏,并把缺腿的科目补上,这样,才能在
云南师范大学附属中学2022届高三高考适应性月考卷五理科数学试题及答案
2021-11-16 09:07:49
云南师范大学附属中学2022届高三高考适应性月考卷五理科数学试题及答案小编已经收集整理好了,高三学习的重心应该课堂上,要引导学生自主构建知识体系,注意加强学生练习,把课本知
2022届云南三校高考备考实用性联考卷二理科数学试题及答案
2021-11-15 08:29:24
2022届云南三校高考备考实用性联考卷二理科数学试题及答案小编已经收集整理好了,高考复习一般分三个阶段,第一阶段全面推进,将高考必考的知识点能力点全部过一遍;第二阶段查缺补
江淮十校2022届高三第二次联考理科数学试题及答案
2021-11-15 08:06:12
江淮十校2022届高三第二次联考理科数学试题及答案小编已经收集整理好了,高考复习要取得理想的成绩,考生在复习开始的时候,就应当紧跟老师步伐,在老师的指导下制定一个科学合理的