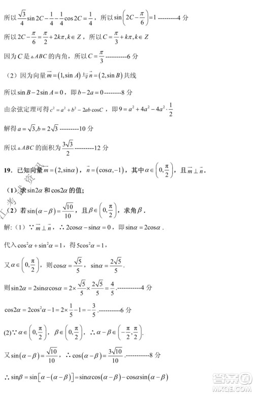
黑龙江2021-2022学年度上学期八校期中联合考试高三理科数学试题及答案小编已经收集整理好了,知识点掌握了,通过刷高考真题,训练答题能力,掌握答题技巧,总结答题规律,提高应试能力,查找知识漏洞。建立错题本,找出易错点。再搜集同类练习题,针对弱项反复训练。需要参考的伙伴也可以来看看哦!

本次考试的其他科目的答案小编也有收集整理,需要核对的伙伴可以在答案圈对应的年级搜索查看!









黑龙江2021-2022学年度上学期八校期中联合考试高三英语试题及答案
2021-11-09 08:32:16
黑龙江2021-2022学年度上学期八校期中联合考试高三英语试题及答案小编已经收集整理好了,知识点掌握了,通过刷高考真题,训练答题能力,掌握答题技巧,总结答题规律,提高应试能力,查找
黑龙江2021-2022学年度上学期八校期中联合考试高三语文试题及答案
2021-11-09 08:20:40
黑龙江2021-2022学年度上学期八校期中联合考试高三语文试题及答案小编已经收集整理好了,复习课本,夯实基础。对课本进行全面系统的复习,我称之为“地毯式扫描”。这一步用的时
中原名校2021-2022学年上期第二次联考高三理科数学试题及答案
2021-11-02 08:13:17
中原名校2021-2022学年上期第二次联考高三理科数学试题及答案小编已经收集整理好了,预习,是学生自己的一种提前学习,许多老师都强调预习的重要性。高三的知识多,如果不预习,直接
2022届吉林重点高中联考高三理科数学试题及答案
2021-10-22 08:37:08
2022届吉林重点高中联考高三理科数学试题及答案小编已经收集整理好了,首先基本知识点必须牢记,第二,针对性每一个知识点做相应的题目巩固练习,第三,在基础知识掌握情况下,开始做一