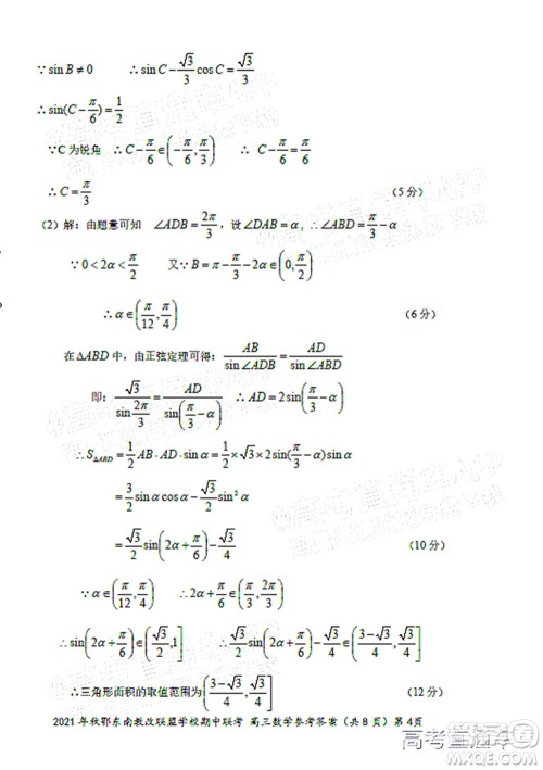
2021年秋季鄂东南省级示范高中教育教学改革联盟学校期中联考高三数学试题及答案小编已经收集整理好了,针对这一阶段的复习备考做一个验证,看看大家这半个学期的复习成果怎么样。需要参考的伙伴也可以来看看哦!

本次考试的其他科目的答案小编也有收集整理,需要核对的伙伴可以在答案圈对应的年级搜索查看!













2021年秋季鄂东南省级示范高中教育教学改革联盟学校期中联考高三化学试题及答案
2021-11-08 16:11:44
2021年秋季鄂东南省级示范高中教育教学改革联盟学校期中联考高三化学试题及答案小编已经收集整理好了,针对这一阶段的复习备考做一个验证,看看大家这半个学期的复习成果怎么样
2021年秋季鄂东南省级示范高中教育教学改革联盟学校期中联考高三物理试题及答案
2021-11-08 15:58:43
2021年秋季鄂东南省级示范高中教育教学改革联盟学校期中联考高三物理试题及答案小编已经收集整理好了,针对这一阶段的复习备考做一个验证,看看大家这半个学期的复习成果怎么样
2021年秋季鄂东南省级示范高中教育教学改革联盟学校期中联考高三英语试题及答案
2021-11-08 15:42:45
2021年秋季鄂东南省级示范高中教育教学改革联盟学校期中联考高三英语试题及答案小编已经收集整理好了,针对这一阶段的复习备考做一个验证,看看大家这半个学期的复习成果怎么样
2021年秋季鄂东南省级示范高中教育教学改革联盟学校期中联考高三语文试题及答案
2021-11-08 15:11:47
2021年秋季鄂东南省级示范高中教育教学改革联盟学校期中联考高三语文试题及答案小编已经收集整理好了,针对这一阶段的复习备考做一个验证,看看大家这半个学期的复习成果怎么样