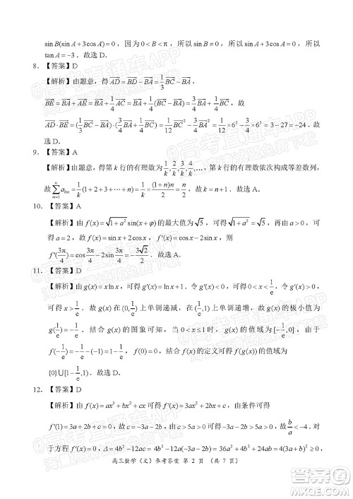
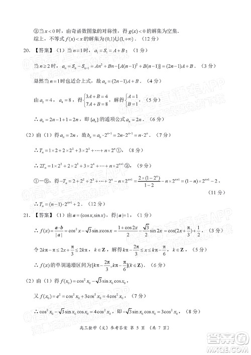
中原名校2021-2022学年上期第二次联考高三文科数学试题及答案小编已经收集整理好了,高三学习和其他学年有两点最大的不同,一是强调综合性,大部分学校前两年已经学完了三年的课程,高三就是用来综合训练;二是强调突击提分,让学生能适应综合性强的问题和考试方法,尽量提高最终分数。需要的伙伴可以来答案圈核对答案!

本次联考的其他科目的答案小编也有收集整理,需要核对的伙伴可以在答案圈对应的年级搜索查看!











中原名校2021-2022学年上期第二次联考高三理科数学试题及答案
2021-11-02 08:13:17
中原名校2021-2022学年上期第二次联考高三理科数学试题及答案小编已经收集整理好了,预习,是学生自己的一种提前学习,许多老师都强调预习的重要性。高三的知识多,如果不预习,直接
中原名校2021-2022学年上期第一次联考高三文科数学试题及答案
2021-09-29 15:44:42
中原名校2021-2022学年上期第一次联考高三文科数学试题及答案小编已经收集整理好了,复习备考过程里常有这样的现象,有学生忽然发现以往得心应手的题忽然不会做了,或出现不该有
太原五中2021-2022学年度第一学期月考高三文科数学试题及答案
2021-09-24 11:00:01
太原五中2021-2022学年度第一学期月考高三文科数学试题及答案小编已经收集整理好了,在考试中,如果你的心态足够淡定,那么,你就能发挥出正常水平,甚至很有可能超常发挥!因为高考是
环际大联考圆梦计划2021-2022学年度阶段性考试一高三文科数学试题及答案
2021-09-24 09:12:09
环际大联考圆梦计划2021-2022学年度阶段性考试一高三文科数学试题及答案小编已经收集整理好了,进入高三,同学们或多或少都会有一些考试心态调整不过来的问题。如果只是在考前