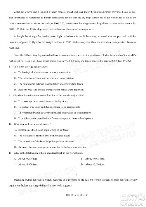
深圳市第七高级中学2022届高三第一次月考试题英语答案小编已经收集整理好了,只有积极主动地学习,才能感受到其中的乐趣,才能对学习越发有兴趣。有了兴趣,效率就会在不知不觉中得到提高。需要核对参考的伙伴可以来答案圈搜索查看!

本次联考的其他科目的答案小编也有收集整理,需要核对的伙伴可以在答案圈对应的年级搜索查看!











深圳市第七高级中学2022届高三第一次月考试题化学答案
2021-10-13 17:12:20
深圳市第七高级中学2022届高三第一次月考试题化学答案小编已经收集整理好了,只有积极主动地学习,才能感受到其中的乐趣,才能对学习越发有兴趣。有了兴趣,效率就会在不知不觉中得
深圳市第七高级中学2022届高三第一次月考试题物理答案
2021-10-13 16:55:37
深圳市第七高级中学2022届高三第一次月考试题物理答案小编已经收集整理好了,只有积极主动地学习,才能感受到其中的乐趣,才能对学习越发有兴趣。有了兴趣,效率就会在不知不觉中得
深圳市第七高级中学2022届高三第一次月考试题数学答案
2021-10-13 16:29:33
深圳市第七高级中学2022届高三第一次月考试题数学答案小编已经收集整理好了,总复习阶段,要求全身全身心投入,集中精神。一是按照学校的教学安排,跟准老师的复习节奏,把每一个阶段
深圳市第七高级中学2022届高三第一次月考试题语文答案
2021-10-13 16:15:44
深圳市第七高级中学2022届高三第一次月考试题语文答案小编已经收集整理好了,高三是关键的一年,是紧张的一年,也是高强度学习的一年,一年后高三的同学就要接受人生的第一次大考。