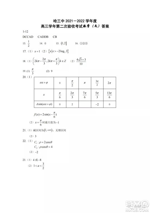
哈三中2021-2022学年度高三学年第二次验收考试文科数学试卷及答案小编已经收集整理好了,听老师的话。其实不止要听老师的话,一些学长学姐老前辈的经验都要去看看,细细品味。不要你照做,但要你知道哪些是坑,哪些路必须要经历,要走!所以,不要自己顾自己的去埋头苦学,更要去借鉴他人的学习方法,与他人多交流!感兴趣的伙伴可以来答案圈核对答案。

本次联考的其他科目的答案小编也有收集整理,需要核对的伙伴可以在答案圈对应的年级搜索查看!









哈三中2021-2022学年度高三学年第二次验收考试理科数学试卷及答案
2021-10-09 08:00:52
哈三中2021-2022学年度高三学年第二次验收考试理科数学试卷及答案小编已经收集整理好了,一轮复习的时候,老师通常会要求学生们把各科的的所有教材都带来复习,这其中就有高一高
2021-2022学年上学期全国百强名校领军考试高三文科数学试卷及答案
2021-10-01 09:13:58
2021-2022学年上学期全国百强名校领军考试高三文科数学试卷及答案小编已经收集整理好了,高三的复习是一个连续而且漫长的过程,尤其是一轮复习阶段,学习的重心应该转移到基础复
百师联盟2022届高三一轮复习联考一全国卷文科数学试卷及答案
2021-09-27 08:32:14
百师联盟2022届高三一轮复习联考一全国卷文科数学试卷及答案小编已经收集整理好了,轮复习,一般高三的上学期,用半年时间。因为我们学的知识总会遗忘,所以老师会带领大家重新复习
云南师大附中2022届高考适应性月考卷三文科数学试卷及答案
2021-09-23 08:50:35
云南师大附中2022届高考适应性月考卷三文科数学试卷及答案小编已经收集整理好了,要把各科书本的知识框架结构搭建起来。如果没有知识点框架结构,所学知识就会没有条理性,重点和