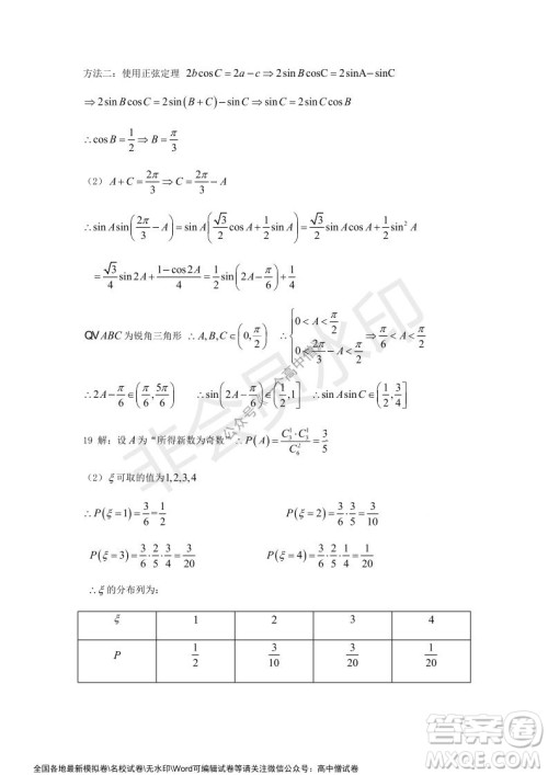
山东师大附中2019级2021-2022学年秋季开学考试数学试题及答案小编已经收集整理好了,无论你是学习成绩好的,还是处于中游水平,甚至是成绩差的,都要学会淡定!如今,还有两个半月的时间才到高考,在这么长的时间里,复习的同时要学会淡定,借助模拟考试锻炼自己的心态,只有冷静下来才能更好的复习。需要核对答案的伙伴可以来答案圈搜索查看!

本次联考的其他科目小编也有收集整理,感兴趣的伙伴可以来答案圈搜索查看!










山东师大附中2019级2021-2022学年秋季开学考试生物试题及答案
2021-09-18 08:57:18
山东师大附中2019级2021-2022学年秋季开学考试生物试题及答案小编已经收集整理好了,辩证看待考试。这个是说,当我们在考试的时候,很多时候拿到试卷,想着自己应该做起多少题,应该
山东师大附中2019级2021-2022学年秋季开学考试历史试题及答案
2021-09-18 08:47:00
山东师大附中2019级2021-2022学年秋季开学考试历史试题及答案小编已经收集整理好了,要准确定位自己,包括自己的优势学科,弱势学科,甚至是每一学科的优势章节和弱势章节也要定位
山东师大附中2019级2021-2022学年秋季开学考试化学试题及答案
2021-09-18 08:33:14
山东师大附中2019级2021-2022学年秋季开学考试化学试题及答案小编已经收集整理好了,无论是单元测试、月考,还是一模二模考试,结果本身并不重要,重要的是发现问题并解决问题,我们
山东师大附中2019级2021-2022学年秋季开学考试地理试题及答案
2021-09-18 08:24:19
山东师大附中2019级2021-2022学年秋季开学考试地理试题及答案小编已经收集整理好了,无论如何都要坚信自己能把每一个学科都学好,总有一天,你终将成为最好的自己!不管你现在是成