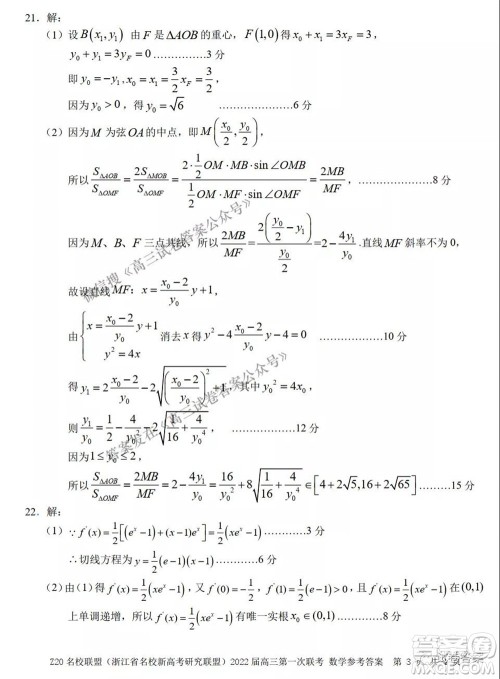
浙江省Z20名校联盟2022届高三第一次联考数学试卷及答案已经整理完成了,名校新高考研究联盟出题,针对新高考通过考试让学生更好的查漏补缺,让高考复习更加高效,感兴趣的伙伴可以来答案圈看看!

本次联考的其他科目小编也有整理,需要的伙伴可以来答案圈搜索查看!








浙江省Z20名校联盟2022届高三第一次联考语文试卷及答案
2021-08-28 09:32:06
浙江省Z20名校联盟2022届高三第一次联考语文试卷及答案已经整理完成了,名校新高考研究联盟出题,针对新高考通过考试让学生更好的查漏补缺,让高考复习更加高效,感兴趣的伙伴可以
2022届高三年级江西智学联盟体第一次联考理科数学试卷及答案
2021-08-24 14:51:48
2022届高三年级江西智学联盟体第一次联考理科数学试卷及答案小编已经收集整理好了,让高三伙伴对接下来的学习有更明确的规划和目标,感兴趣的伙伴可以来答案圈核对答案哦!2022届
2022届高三年级江西智学联盟体第一次联考文科数学试卷及答案
2021-08-24 14:34:32
2022届高三年级江西智学联盟体第一次联考文科数学试卷及答案小编已经收集整理好了,让高三伙伴对接下来的学习有更明确的规划和目标,感兴趣的伙伴可以来答案圈核对答案哦!2022届
2022高三一轮复习阶段性成果调研卷新高考数学试卷及答案
2021-08-24 11:15:23
2022高三一轮复习阶段性成果调研卷新高考数学试卷及答案小编已经收集整理好了,让高三伙伴对接下来的学习有更明确的规划和目标,感兴趣的伙伴可以来答案圈核对答案哦!2022高三一
2022届浙江省高三开学考系列试卷答案