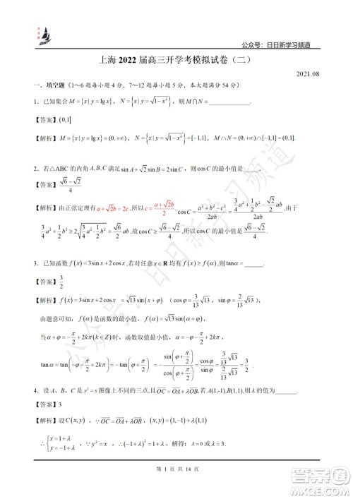
上海2022届高三开学考模拟试卷二数学试题及答案小编已经收集整理好了,新高三入学考试,感兴趣的伙伴可以来答案圈查看!

本次考试的其他科目的答案小编也有整理在答案圈,大家需要核对参考的可以直接在对应的年级搜素查看




















上海2022届高三开学考模拟试卷四数学试题及答案
2021-08-21 11:21:29
上海2022届高三开学考模拟试卷四数学试题及答案小编已经收集整理好了,新高三入学考试,感兴趣的伙伴可以来答案圈查看!上海2022届高三开学考模拟试卷四数学试题及答案本次考试的
2022届高三开学摸底考试答案新高考二卷数学试题及答案
2021-08-19 15:29:24
2022届高三开学摸底考试答案新高考二卷数学试题及答案小编已经收集整理好了,高三阶段性联考,感兴趣的伙伴可以来答案圈核对答案哦!2022届高三开学摸底考试答案新高考二卷数学试
2021学年高三上学期8月省实执信广雅六中四校联考试卷数学试题及答案
2021-08-19 14:29:51
2021学年高三上学期8月省实执信广雅六中四校联考试卷数学试题及答案小编已经收集整理好了,高三阶段性联考,感兴趣的伙伴可以来答案圈核对答案哦!2021学年高三上学期8月省实执信
2022届河北深州长江中学高三开学摸底考数学试题及答案
2021-08-18 15:14:17
2022届河北深州长江中学高三开学摸底考数学试题及答案小编已经收集整理好了,新高三年级的入学考试,考完的伙伴可以来答案圈核对答案哦!2022届河北深州长江中学高三开学摸底考数