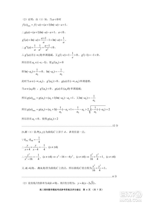
贵阳市2022届高三年级摸底考试理科数学答案小编已经收集整理好了,新高三入学考试,感兴趣的伙伴可以来答案圈查看!

本次考试的其他科目的答案小编也有整理在答案圈,大家需要核对参考的可以直接在对应的年级搜素查看







贵阳市2022届高三年级摸底考试政治答案
2021-08-21 10:26:29
贵阳市2022届高三年级摸底考试政治答案小编已经收集整理好了,新高三入学考试,感兴趣的伙伴可以来答案圈查看!贵阳市2022届高三年级摸底考试政治答案本次考试的其他科目的答案小
贵阳市2022届高三年级摸底考试物理答案
2021-08-21 09:30:42
贵阳市2022届高三年级摸底考试物理答案小编已经收集整理好了,新高三入学考试,感兴趣的伙伴可以来答案圈查看!贵阳市2022届高三年级摸底考试物理答案本次考试的其他科目的答案小
贵阳市2022届高三年级摸底考试语文答案
2021-08-21 09:11:36
贵阳市2022届高三年级摸底考试语文答案小编已经收集整理好了,新高三入学考试,感兴趣的伙伴可以来答案圈查看!贵阳市2022届高三年级摸底考试语文答案本次考试的其他科目的答案小
贵阳市2022届高三年级摸底考试试卷文科数学答案
2021-08-21 08:18:05
贵阳市2022届高三年级摸底考试试卷文科数学答案小编已经收集整理好了,感兴趣的伙伴可以来答案圈查看!贵阳市2022届高三年级摸底考试试卷文科数学答案本次考试的其他科目的答案