2021年高考数学真题全国甲卷试卷及答案小编已经收集整理好了,十年磨一剑,高考的一天终于结束了,这里小编整理了相关的高考真题,需要的伙伴可以来答案圈查看!

全国甲卷使用地区:云南、广西、贵州、四川、西藏










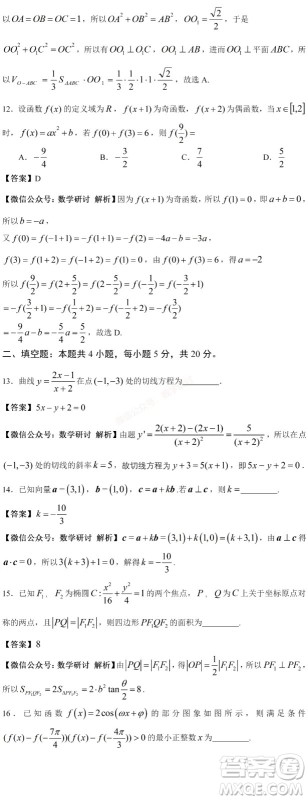
2021年高考数学真题全国乙卷理科数学试卷及答案解析
2021-06-08 09:38:23
2021年高考数学真题全国乙卷理科数学试卷及答案解析小编已经收集整理好了,十年磨一剑,高考的一天终于结束了,这里小编整理了相关的高考真题,全国乙卷的理科数学小编已经整理好了
2021年高考数学真题全国乙卷文科数学试卷及答案解析
2021-06-08 08:57:39
2021年高考数学真题全国乙卷文科数学试卷及答案解析小编已经收集整理好了,十年磨一剑,高考的一天终于结束了,这里小编整理了相关的高考真题,全国乙卷的文科数学小编已经整理好了
2021年高考数学真题新高考I卷试卷及答案
2021-06-08 08:37:40
2021年高考数学真题新高考I卷试卷及答案小编已经收集整理好了,十年磨一剑,高考的一天终于结束了,这里小编整理了相关的高考真题试卷及答案解析都有,需要的伙伴可以来答案圈查看!2