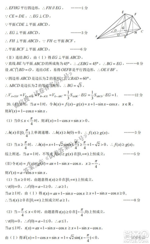
太原市2021年高三年级模拟考试二文科数学试卷及答案小编已经整理好了,感兴趣的伙伴可以来答案圈看看

本次联考的其他科目的答案小编也有整理在答案圈,大家需要核对参考的可以直接在对应得年级搜素查看










太原市2021年高三年级模拟考试二语文试卷及答案
2021-04-22 16:11:35
太原市2021年高三年级模拟考试二语文试卷及答案小编已经整理好了,感兴趣的伙伴可以来答案圈看看太原市2021年高三年级模拟考试二语文试卷及答案本次联考的其他科目的答案小编
2021届高三冲刺联考文科数学试卷及答案
2021-04-15 15:33:23
2021届高三冲刺联考文科数学试卷及答案小编已经整理在答案圈了,感兴趣的伙伴可以来答案圈查看2021届高三冲刺联考文科数学试卷及答案本次联考的其他科目的答案小编也有整理在
南宁市2021届高中毕业班第一次适应性测试文科数学试卷及答案
2021-03-19 13:45:37
南宁市2021届高中毕业班第一次适应性测试文科数学试卷及答案小编已经收集整理好了!更多答案小伙伴可以来答案圈了解一下!南宁市2021届高中毕业班第一次适应性测试文科数学试卷
百师联盟2021届高三开年摸底联考全国卷I文科数学试卷及答案
2021-03-04 14:21:27
百师联盟2021届高三开年摸底联考全国卷I文科数学试卷及答案小编已经收集整理好了,考完的小伙伴可以来答案圈核对答案哦!百师联盟2021届高三开年摸底联考全国卷I文科数学试卷及