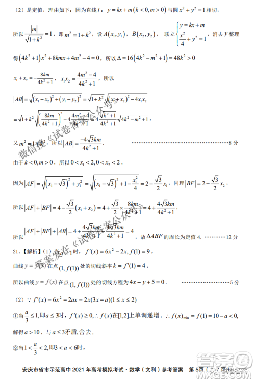
安庆市省市师范高中2021年高考模拟考试文科数学试题及答案小编已经整理在答案圈了,感兴趣的伙伴可以来答案圈查看

本次联考的其他科目的答案小编也有整理在答案圈,大家需要核对参考的可以直接在对应得年级搜素查看











安庆市省市师范高中2021年高考模拟考试理科数学试题及答案
2021-04-17 09:48:02
安庆市省市师范高中2021年高考模拟考试理科数学试题及答案小编已经整理在答案圈了,感兴趣的伙伴可以来答案圈查看安庆市省市师范高中2021年高考模拟考试理科数学试题及答案本
2021年云南金太阳4月联考高三文科数学试题及答案
2021-04-17 09:36:34
2021年云南金太阳4月联考高三文科数学试题及答案小编已经整理在答案圈了,感兴趣的伙伴可以来答案圈查看2021年云南金太阳4月联考高三文科数学试题及答案本次联考的其他科目的
2021年甘肃省第二次高考诊断考试文科数学试题及答案
2021-04-16 17:32:19
2021年甘肃省第二次高考诊断考试文科数学试题及答案小编已经整理在答案圈了,感兴趣的伙伴可以来答案圈查看2021年甘肃省第二次高考诊断考试文科数学试题及答案本次联考的其他
2021年九师联盟高三4月联考文科数学试题及答案
2021-04-16 16:29:55
2021年九师联盟高三4月联考文科数学试题及答案小编已经整理在答案圈了,感兴趣的伙伴可以来答案圈查看2021年九师联盟高三4月联考文科数学试题及答案本次联考的其他科目的答案