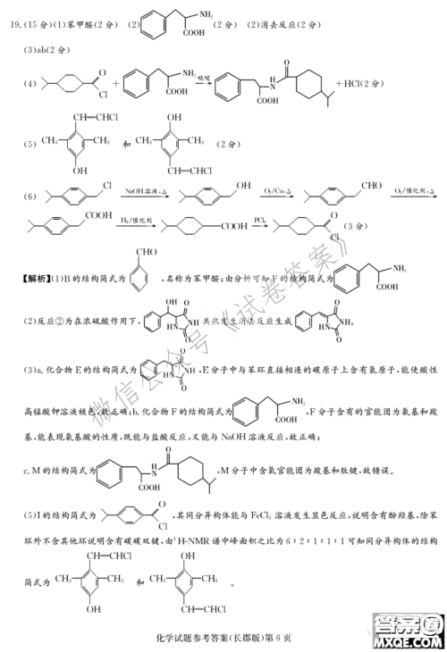
炎德英才大联考长郡中学2021届高三月考试卷六化学试题及答案,这次小编收集的答案还是很齐全的,可以来了解一下!

本次联考的其他科目的答案小编也有整理在答案圈,大家需要核对参考的可以直接在对应得年级搜素查看
















炎德英才大联考长郡中学2021届高三月考试卷六物理试题及答案
2021-02-28 11:14:22
炎德英才大联考长郡中学2021届高三月考试卷六物理试题及答案,这次小编收集的答案还是很齐全的,可以来了解一下!炎德英才大联考长郡中学2021届高三月考试卷六物理试题及答案本次
炎德英才大联考长郡中学2021届高三月考试卷六语文试题及答案
2021-02-28 11:02:56
炎德英才大联考长郡中学2021届高三月考试卷六语文试题及答案,这次小编收集的答案还是很齐全的,可以来了解一下!炎德英才大联考长郡中学2021届高三月考试卷六语文试题及答案本次
2021湖北九师联盟高三新高考2月考试化学试题及答案
2021-02-25 09:44:41
2021湖北九师联盟高三新高考2月考试化学试题及答案小编已经收集整理好了!考完的伙伴来答案圈看看!2021湖北九师联盟高三新高考2月考试化学试题及答案本次联考的其他科目的答案
惠州市2021届高三第三次调研考试化学试题及答案
2021-02-25 08:16:53
惠州市2021届高三第三次调研考试化学试题及答案小编已经收集整理好了!考完的伙伴来答案圈看看!惠州市2021届高三第三次调研考试化学试题及答案本次联考的其他科目的答案小编已