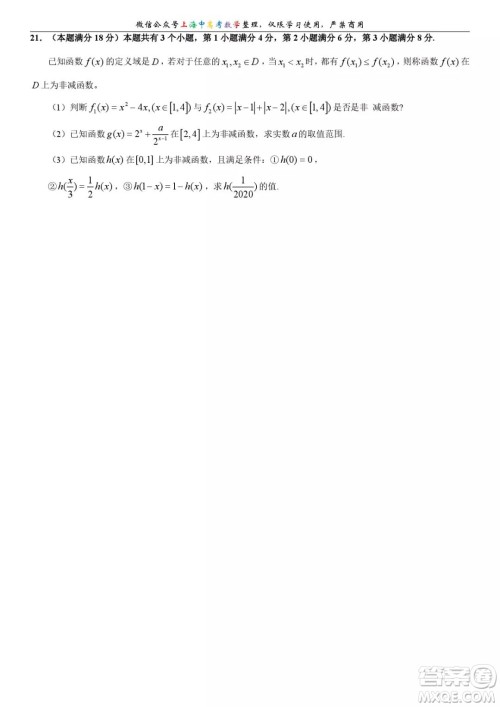
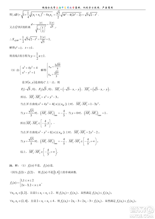
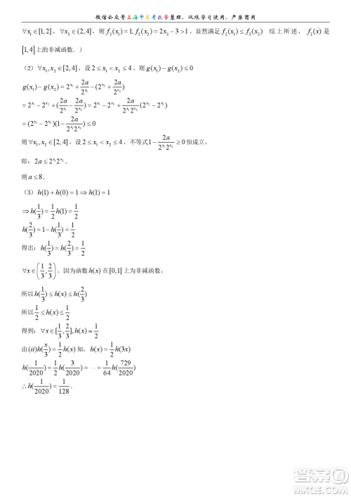
上海浦东新区2020学年度第一学期期末教学质量检测高三数学试卷及答案小编已经收集整理好了,需要核对参考的伙伴可以来答案圈看看

本次联考的其他科目的答案小编也有整理,需要核对参考的伙伴直接在答案圈对应的年级搜索即可查看








2019年3月苏锡常镇四市一模高三数学试卷及答案解析
2019-03-20 08:19:27
2019年3月苏锡常镇四市一模高三数学试卷及答案解析,小编收集的很详细了,做完后的小伙伴请及时核对吧2019年3月苏锡常镇四市一模高三数学试卷及答案解析本次考试的试卷及答案小
2019年3月南充二诊高三数学试卷及答案
2019-03-13 13:43:57
小编收集了2019年3月南充二诊高三数学试卷及答案,做完练习后的学生一定要认真核对一下看看自己的考试情况哦2019年3月南充二诊高三文数试卷及答案南充市高2019届第二次高考适
2019虹口区一模高三数学试卷及答案解析
2018-12-20 08:54:14
2019虹口区一模高三数学试卷及答案解析,已经收集在答案圈啦,快请及时核对吧2019虹口区一模高三数学试卷及答案解析虹口区2018学年度第一学期期终教学质量监控测试高三数学试卷