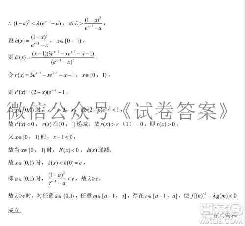
炎德英才大联考雅礼中学2021届高三月考试卷四数学试题及答案小编已经整理好了,需要核对参考的伙伴来答案圈看看

本次联考的其他科目的答案小编也有整理,需要核对参考的伙伴直接在答案圈对应的年级搜索即可查看













2021届安徽五校高三联考文科数学试题及答案
2020-12-09 13:36:06
2021届安徽五校高三联考文科数学试题及答案小编已经整理好了,需要核对参考的伙伴来答案圈看看2021届安徽五校高三联考文科数学试题及答案本次联考的其他科目的答案小编也有整
2021届安徽五校高三联考理科数学试题及答案
2020-12-09 12:00:52
2021届安徽五校高三联考理科数学试题及答案小编已经整理好了,需要核对参考的伙伴来答案圈看看2021届安徽五校高三联考理科数学试题及答案本次联考的其他科目的答案小编也有整
炎德英才大联考联合体2020年高三12月联考地理试题及答案
2020-12-09 10:39:44
炎德英才大联考联合体2020年高三12月联考地理试题及答案小编已经整理好了,需要核对参考的伙伴来答案圈看看炎德英才大联考联合体2020年高三12月联考地理试题及答案本次联考的
炎德英才大联考联合体2020年高三12月联考政治试题及答案
2020-12-09 10:27:00
炎德英才大联考联合体2020年高三12月联考政治试题及答案小编已经整理好了,需要核对参考的伙伴来答案圈看看炎德英才大联考联合体2020年高三12月联考政治试题及答案本次联考的