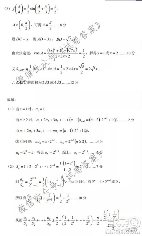
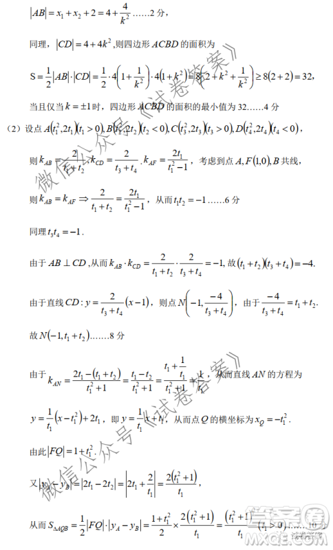
中学生标准学术能力诊断性测试2020年11月测试理科数学试题及答案小编已经收集整理好了,大家做完练习可以来答案圈核对一下

本次考试的其他科目的答案小编也有整理,需要核对参考的伙伴直接在答案圈高三年级搜索即可查看














中学生标准学术能力诊断性测试2020年11月测试文科数学试题及答案
2020-11-13 17:22:50
中学生标准学术能力诊断性测试2020年11月测试文科数学试题及答案小编已经收集整理好了,大家做完练习可以来答案圈核对一下中学生标准学术能力诊断性测试2020年11月测试文科数
中学生标准学术能力诊断性测试2020年11月测试语文试题及答案
2020-11-13 17:08:41
中学生标准学术能力诊断性测试2020年11月测试语文试题及答案小编已经收集整理好了,大家做完练习可以来答案圈核对一下中学生标准学术能力诊断性测试2020年11月测试语文试题及
2021届高三金太阳11月联考理科数学试题及答案
2020-11-13 16:53:54
2021届高三金太阳11月联考理科数学试题及答案小编已经收集整理好了,大家做完练习可以来答案圈核对一下2021届高三金太阳11月联考理科数学试题及答案本次考试的其他科目的答案
2021届仁寿零诊高三诊断试卷文理科数学试题及答案
2020-11-08 09:25:32
2021届仁寿零诊高三诊断试卷文理科数学试题及答案小编已经收集整理好了,大家做完练习可以来答案圈核对一下2021届仁寿零诊高三诊断试卷文理科数学试题及答案本次考试的其他科