哈六中2018级高三上学期期中考试文科数学试题及答案小编已经收集整理好了,大家做完练习可以来答案圈核对一下

本次考试的其他科目的答案小编也有整理,需要核对参考的伙伴直接在答案圈高三年级搜索即可查看













哈六中2018级高三上学期期中考试理科数学试题及答案
2020-11-04 18:15:42
哈六中2018级高三上学期期中考试理科数学试题及答案小编已经收集整理好了,大家做完练习可以来答案圈核对一下哈六中2018级高三上学期期中考试理科数学试题及答案本次考试的其
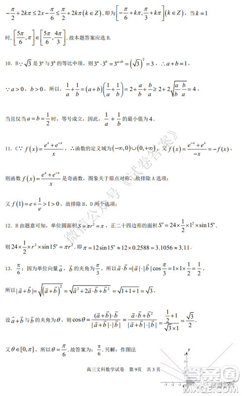
绵阳市高中2018级第一次诊断性考试文科数学试题及答案
2020-11-02 17:50:24
绵阳市高中2018级第一次诊断性考试文科数学试题及答案小编已经收集整理好了,大家做完练习可以来答案圈核对一下绵阳市高中2018级第一次诊断性考试文科数学试题及答案本次考试
百师联盟2021届高三一轮复习联考二全国卷I文科数学试题及答案
2020-11-01 09:44:30
百师联盟2021届高三一轮复习联考二全国卷I文科数学试题及答案小编已经收集整理好了,大家做完练习可以来答案圈核对一下百师联盟2021届高三一轮复习联考二全国卷I文科数学试题
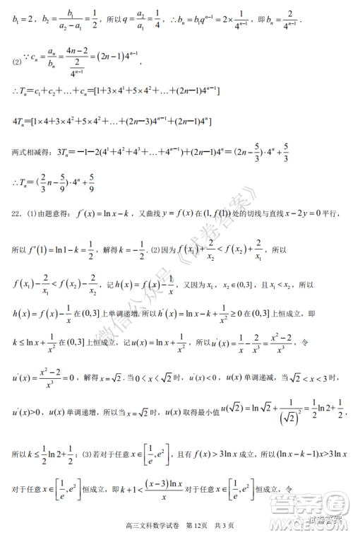
哈三中2020-2021学年度高三年级期中考试文科数学试题及答案
2020-11-01 09:40:54
哈三中2020-2021学年度高三年级期中考试文科数学试题及答案小编已经收集整理好了,大家做完练习可以来答案圈核对一下哈三中2020-2021学年度高三年级期中考试文科数学试题及答